求助帖!求指点哪里出错了
mathcad吧
全部回复
仅看楼主
level 1
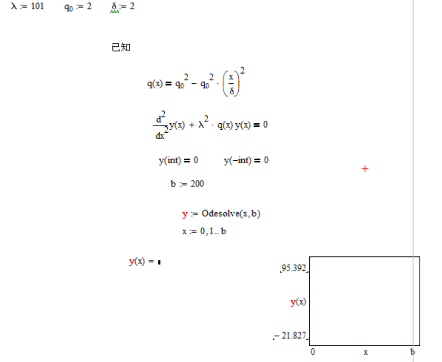
唄腻 楼主
源文件 传不上来 一直被删帖
错误提示是 初始条件太少
2017年04月20日 20点04分 1
1