【普及】Gamma函数与Psi函数
高等数学吧
全部回复
仅看楼主
level 15
Altair✨
楼主
RT,内容为普及向,所以会讲的稍微简单一点点
更新速度
就不好说了
楼主水平有限还请指正
2017年02月13日 14点02分
1
level 15
Altair✨
楼主
自古二楼归楼主
2017年02月13日 14点02分
2
Altair✨
参考资料:梅加强《数学分析讲义》 张筑生《数学分析新讲》
2017年02月23日 12点02分
Altair✨
内容大体是搬运的,因为在这种古典问题上面没法有太多进展啦
不过有些定理证明方法有很多种,这是有启发意义的。这里我按照比较容易理解的顺序更新贴子,一方面作为普及,另一方面作为我的笔记
2017年02月23日 12点02分
level 15
Altair✨
楼主
我选择先从欧拉公式开始讲起,但其实这不是很必要,因为复数大家接触得少,所以有兴趣的童鞋看看,不想接触的直接看Gamma函数定义并且把z当做实数就行
2017年02月13日 14点02分
3
level 15
Altair✨
楼主
如果考虑复变量的Gamma函数值的话,可以稍微这样处理一下。复数的Gamma函数值到此为止了
2017年02月13日 14点02分
4
吧务
level 16
你的眼神唯美
5楼。
2017年02月13日 14点02分
5
level 15
Altair✨
楼主
这个比较简单的递推公式是对非负实数x都成立的,当x取到整数时就得到了一些比较特殊的结果。通过这种方式,我们可以知道,其实Gamma函数的一个作用就是将阶乘推广到整数以外的部分。
2017年02月13日 15点02分
6
level 15
Altair✨
楼主
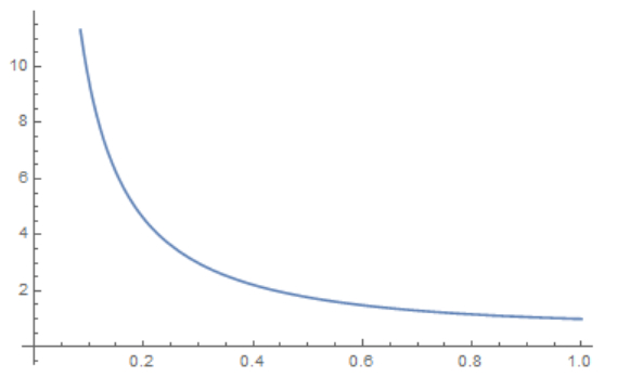
gamma函数在0到1的图像与1到+∞图像(Gamma函数在0附近取∞值,稍后提到)
2017年02月13日 15点02分
7
Mr_BloodFox
其实看图像我更喜欢看地貌图
2017年02月14日 03点02分
Altair✨
@Mr_BloodFox
我不喜欢地貌图,啥都看不到
2017年02月14日 03点02分
level 14
9899100130lzc
前排
帮顶,98加油,
2017年02月13日 15点02分
8
level 11
超级马里奥045
水笔
2017年02月13日 23点02分
11
level 13
旸雨3
没有情人的情人节
2017年02月14日 01点02分
12
level 13
阿彝
有情人的情人节
2017年02月14日 01点02分
13
level 14
9899100130lzc
以题做情人的情人节
2017年02月14日 01点02分
14
level 15
Altair✨
楼主
我们来证明一个命题:lnΓ(x)是凸(下凸)函数。这里用到柯西不等式的积分形式。至于如何证明中点凸函数是凸函数,大家可以翻翻课本,如果课本没有可以去百度一下 中点凸。
2017年02月14日 02点02分
15
向老师讲数学
最蛋疼的莫过于考研的凹凸概念与数学分析的凹凸概念是刚好相反的
2017年02月14日 16点02分
Altair✨
回复 今生无悔xy :最怕这个
从来都担心说不明白凹凸
2017年02月14日 16点02分
level 9
Kano小病娇
情人节就看这个,不来点小桃心方程式啥的
2017年02月14日 03点02分
16
level 10
Mr_BloodFox
顶顶
来晚了
2017年02月14日 03点02分
17
Mr_BloodFox
在情人节前夕发帖,花蕊姐姐还是有够寂寞啊
2017年02月14日 03点02分
Mr_BloodFox
@Altair✨
我先理一下信息量
2017年02月14日 03点02分
1
2
3
4
尾页