最小二乘法那个符号咋读
数学吧
全部回复
仅看楼主
level 12
墨城瓷月
楼主
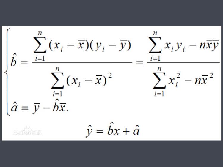
就是a、b、y上面那个小拐弯怎么读?
2016年11月15日 14点11分
1
level 12
墨城瓷月
楼主
求问
2016年11月15日 14点11分
2
level 12
墨城瓷月
楼主
为什么没人理我
2016年11月15日 14点11分
3
spuerchina
我听到的读a拔,b拔
2016年11月15日 16点11分
墨城瓷月
回复 spuerchina :那是平均值
2016年11月16日 15点11分
spuerchina
回复
科技狂人001
:标准读法应该是a的估计,b的估计;简略读法就随心所欲了,有的和平均值一个叫法,大多数读帽子hat
2016年11月16日 16点11分
level 12
达芬奇的账号
a尖,b尖,
2016年11月15日 14点11分
4
墨城瓷月
。。。Are you kidding?
2016年11月15日 14点11分
达芬奇的账号
回复 科技狂人001 :你不觉得这样很形象而且没有歧义吗?
2016年11月15日 14点11分
墨城瓷月
回复 达芬奇的账号 :可我想知道标准读法,我们老师读a帽
......
2016年11月15日 15点11分
达芬奇的账号
回复 科技狂人001 :这符号本来就没有读音,听得懂就行
2016年11月15日 15点11分
level 6
17471383
我们老师读a估计,y估计什么的,不知道对不对
2016年11月15日 15点11分
5
level 15
💕爱尔奎特💕
a hat,b hat
2016年11月15日 15点11分
7
level 11
gooxiii
a帽 b帽
2016年11月16日 02点11分
8
KFW♬
同
2017年08月27日 22点08分
level 11
ZaKill😈
a_hat, a_estimate
2016年11月16日 05点11分
9
level 13
费米能级🐴
hat
2016年11月16日 06点11分
10
level 9
小弟zxfly
哈哈哈
2016年11月16日 13点11分
12
level 1
情愿最初不相识
我们老师是 a尖,b尖
2016年11月16日 13点11分
13
level 13
贝壳张1
a hat是对的,我们物理老师这么读
2016年11月17日 01点11分
14
1