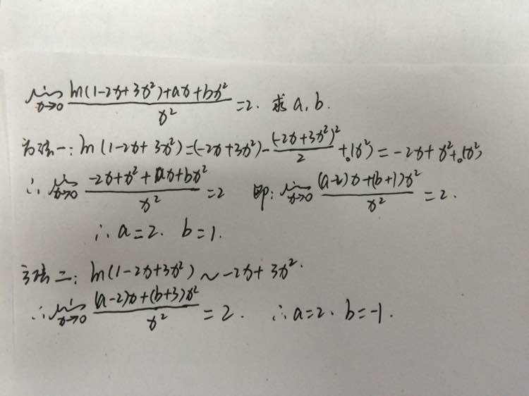
求指教
高等数学吧
全部回复
仅看楼主
level 14
洋媳妇儿1124
楼主
2016年10月07日 13点10分
1
level 14
洋媳妇儿1124
楼主
哪种方法是对的啊 答案是第一种 第二种不行么
2016年10月07日 13点10分
2
level 14
洋媳妇儿1124
楼主
谢谢大神们
2016年10月07日 13点10分
3
level 14
洋媳妇儿1124
楼主
dd
2016年10月07日 13点10分
4
level 14
洋媳妇儿1124
楼主
dd
2016年10月07日 13点10分
5
level 14
洋媳妇儿1124
楼主
dd
2016年10月07日 14点10分
6
level 10
asdfop
用泰勒估计是精确的,用等价有漏洞,那个对数可等价于-2x+ax²
2016年10月07日 19点10分
7
level 9
🍁浅丶泣💦
等价不能用在加减里面直接用
2016年10月07日 22点10分
8
level 13
阿彝
ln二阶展开是平方 只要ln里有x一次项就要展开到二阶
2016年10月07日 23点10分
9
1