能否复活帖子“在程序中如何实现given-find???”
mathcad吧
全部回复
仅看楼主
吧务
level 8
wwwdongliting
楼主
如题?
2016年09月21日 10点09分
1
吧务
level 13
loupoo2
什么情况????没明白
2016年09月21日 10点09分
2
大海的暴怒
就是我原来问的一个问题,例如已知y=4,当m为条件1时,解y=x**3-x,当m为条件2时,解y=x**4-x
2016年11月19日 15点11分
loupoo2
@大海的暴怒
没见过,看看下面是不是这样的
2016年11月20日 04点11分
吧务
level 8
wwwdongliting
楼主
就是原先的一个帖子,我很想看到
2016年09月24日 14点09分
3
吧务
level 13
loupoo2
这个纯粹就是为了程序而程序的,其实根本就不需要用程序就可解决
@大海的暴怒
2016年11月20日 04点11分
4
大海的暴怒
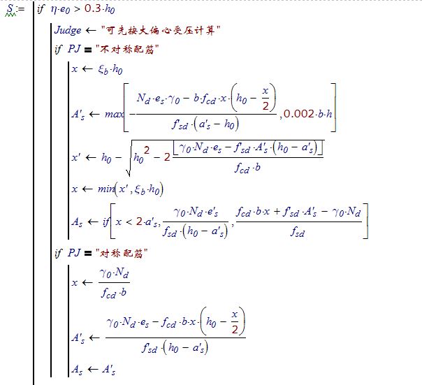
我贴上了自己编的个东西。我的目的就是根据配筋要求的不同,显示出用的公式不同,例如程序里面的A\B\C的求解,其实就为了解一个三次方程组而采取的中间变量,而我的本意就是直接在程序里用GIVEN FIND解这个方程组。无奈,初触,技穷,望
@loupoo2
给点建议,抑或是程序的建议,不胜感激动万分秒必争
2016年11月23日 08点11分
level 7
大海的暴怒
2016年11月23日 08点11分
5
1