level 13
zyx归去来兮
楼主
过研究归纳,我们会发现数列方面的命题主要有以下三个方面:
(1)数列本身的有关知识,其中有等差数列与等比数列的概念、性质、通项公式及求和公式。
(2)数列与其它知识的结合,其中有数列与函数、方程、不等式、三角、几何的结合。
(3)数列的应用问题,其中主要是以增长率问题为主。
这些试题是分难度的,由易到难层层递进,接下来为大家介绍下高中数列解题中,经常会用到的几种方法,孩子们完全可以按照这个解题思路来回答数列相关的问题,当熟练掌握了这几点并学会融会贯通后,你一定会发现,数列其实很简单。
一、方程的思想方法
数列这一章涉及了多个关于首项、末项、项数、公差、公比、第n项和前n项和这些量的数学公式,而公式本身就是一个等式,因此,在求这些数学量的过程中,可将它们看成相应的已知量和未知数,通过公式建立关于求未知量的方程,可以使解题变得清晰、明了,而且简化了解题过程。
示例>>

解析>>



二、错位相减
错位相减法是一种常用的数列求和方法,应用于等比数列与等差数列相乘的形式。 形如An=BnCn,其中Bn为等差数列,Cn为等比数列;分别列出Sn,再把所有式子同时乘以等比数列的公比,即kSn;然后错一位,两式相减即可。
例如,求和Sn=1
+3
x+5x^2+7x^3+…+(2n-1)*x^(n-1)(x≠0) 当x=1时,Sn=1+3+5+…+(2n-1)=n^2; 当x不等于1时,Sn=1+3x+5x^2+7x^3+…+(2n-1)*x^(n-1); ∴xSn=x+3x+5x+7x^4+…+(2n-1)*x^n; 两式相减得(1-x)Sn=1+2x[1+x+x+x+…+x^(n-2)]-(2n-1)*x^n; 化简得Sn=(2n-1)*x^(n+1)-(2n+1)*x^n+(1+x)/(1-x)^2 Sn= 1/2+1/4+1/8+....+1/2^n 两边同时乘以1/2 1/2Sn= 1/4+1/8+....+1/2^n+1/2^(n+1)(注意跟原式的位置的不同,这样写看的更清楚些) 两式相减 1/2Sn=1/2-1/2^(n+1) Sn=1-1/2^n
错位相减法是求和的一种解题方法。在题目的类型中:一般是a前面的系数和a的指数是相等的情况下才可以用。
三、倒序相加法
等差数列前n项和公式的推导过程中,就根据等差数列的特点,很好的应用了倒序相加法,而且在这一章的很多问题都直接或间接地用到了这种方法。
示例>>



三、构造法
构造法就是在解决某些数学问题的过程中,通过对条件与结论的充分剖析,有时
会联想出一种适当的辅助模型,如某种数量关系,某个直观图形,或者某一反例,以
此促成命题转换,产生新的解题方法,这种思维方法的特点就是“构造”若已知条件
给的是数列的递推公式要求出该数列的通项公式,此类题通常较难,但使用构造法往
往给人耳目一新的感觉
1构造等差数列或等比数列
由于等差数列与等比数列的通项公式显然,对于一些递推数列问题,若能构造等差数列或等比数列,无疑是一种行之有效的构造方法
2构造差式与和式
解题的基本思路就是构造出某个数列的相邻两项之差,然后采用迭加的方法就可求得这一数列的通项公式
3构造商式与积式构造数列相邻两项的商式,然后连乘也是求数列通项公式的一种简单方法
4构造对数式或倒数式有些数列若通过取对数,取倒数代数变形方法,可由复杂变为简单,使问题得以
解决

四、分组法求和法
有一类数列,既不是等差数列,也不是等比数列,若将这类数列适当拆开,可分为几个等差、等比或常见的数列,然后分别求和,再将其合并即可

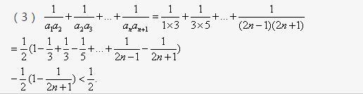
五、裂项法求和
裂项法求和这将分解与组合思想在数列求和中的具体应用裂项法的实质是将数列中的每项(通项)分解,然后重新组合,使之能消去一些项,最终达到求和的目的
.

2016年08月22日 00点08分
1
(1)数列本身的有关知识,其中有等差数列与等比数列的概念、性质、通项公式及求和公式。
(2)数列与其它知识的结合,其中有数列与函数、方程、不等式、三角、几何的结合。
(3)数列的应用问题,其中主要是以增长率问题为主。
这些试题是分难度的,由易到难层层递进,接下来为大家介绍下高中数列解题中,经常会用到的几种方法,孩子们完全可以按照这个解题思路来回答数列相关的问题,当熟练掌握了这几点并学会融会贯通后,你一定会发现,数列其实很简单。
一、方程的思想方法
数列这一章涉及了多个关于首项、末项、项数、公差、公比、第n项和前n项和这些量的数学公式,而公式本身就是一个等式,因此,在求这些数学量的过程中,可将它们看成相应的已知量和未知数,通过公式建立关于求未知量的方程,可以使解题变得清晰、明了,而且简化了解题过程。
示例>>

解析>>


二、错位相减错位相减法是一种常用的数列求和方法,应用于等比数列与等差数列相乘的形式。 形如An=BnCn,其中Bn为等差数列,Cn为等比数列;分别列出Sn,再把所有式子同时乘以等比数列的公比,即kSn;然后错一位,两式相减即可。
例如,求和Sn=1
+3
x+5x^2+7x^3+…+(2n-1)*x^(n-1)(x≠0) 当x=1时,Sn=1+3+5+…+(2n-1)=n^2; 当x不等于1时,Sn=1+3x+5x^2+7x^3+…+(2n-1)*x^(n-1); ∴xSn=x+3x+5x+7x^4+…+(2n-1)*x^n; 两式相减得(1-x)Sn=1+2x[1+x+x+x+…+x^(n-2)]-(2n-1)*x^n; 化简得Sn=(2n-1)*x^(n+1)-(2n+1)*x^n+(1+x)/(1-x)^2 Sn= 1/2+1/4+1/8+....+1/2^n 两边同时乘以1/2 1/2Sn= 1/4+1/8+....+1/2^n+1/2^(n+1)(注意跟原式的位置的不同,这样写看的更清楚些) 两式相减 1/2Sn=1/2-1/2^(n+1) Sn=1-1/2^n
错位相减法是求和的一种解题方法。在题目的类型中:一般是a前面的系数和a的指数是相等的情况下才可以用。
三、倒序相加法
等差数列前n项和公式的推导过程中,就根据等差数列的特点,很好的应用了倒序相加法,而且在这一章的很多问题都直接或间接地用到了这种方法。
示例>>



三、构造法构造法就是在解决某些数学问题的过程中,通过对条件与结论的充分剖析,有时
会联想出一种适当的辅助模型,如某种数量关系,某个直观图形,或者某一反例,以
此促成命题转换,产生新的解题方法,这种思维方法的特点就是“构造”若已知条件
给的是数列的递推公式要求出该数列的通项公式,此类题通常较难,但使用构造法往
往给人耳目一新的感觉
1构造等差数列或等比数列
由于等差数列与等比数列的通项公式显然,对于一些递推数列问题,若能构造等差数列或等比数列,无疑是一种行之有效的构造方法
2构造差式与和式
解题的基本思路就是构造出某个数列的相邻两项之差,然后采用迭加的方法就可求得这一数列的通项公式
3构造商式与积式构造数列相邻两项的商式,然后连乘也是求数列通项公式的一种简单方法
4构造对数式或倒数式有些数列若通过取对数,取倒数代数变形方法,可由复杂变为简单,使问题得以
解决

四、分组法求和法有一类数列,既不是等差数列,也不是等比数列,若将这类数列适当拆开,可分为几个等差、等比或常见的数列,然后分别求和,再将其合并即可

五、裂项法求和裂项法求和这将分解与组合思想在数列求和中的具体应用裂项法的实质是将数列中的每项(通项)分解,然后重新组合,使之能消去一些项,最终达到求和的目的
.
