请问一下,怎么用maple求多符号表达式的偏导
maple吧
全部回复
仅看楼主
level 4
潮汐🌀海斗
楼主
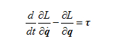
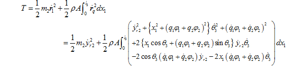
其中,y和θ是关于时间t的函数,φ是关于X的函数,q是广义坐标,请问该怎么求偏导呢,不知道该怎么输入...最终是要用拉格朗日动力学方程求,希望大神指导一番...用T对q的一阶导求偏导?
2016年07月13日 07点07分
1
level 4
潮汐🌀海斗
楼主
顶一下
2016年07月13日 07点07分
2
level 4
潮汐🌀海斗
楼主
有人吗
2016年07月14日 01点07分
3
level 1
liuk110123
顶
2017年08月29日 02点08分
4
level 1
tongntong
请问你这个问题解决了吗?我也遇到了,不知道怎么求,
2017年12月27日 03点12分
5
level 1
咦为什么y
没有人会吗?同求
2018年06月04日 13点06分
6
1