【定积分】Gauss积分∫(-∞,+∞) e^(-x²) dx的多种做法
高等数学吧
全部回复
仅看楼主
level 15
伊卡慕斯小愛
楼主
一楼度娘
2016年04月01日 15点04分
1
level 15
伊卡慕斯小愛
楼主
先发一些基础做法,有进阶的就补充上来吧
@Renascence_5
2016年04月01日 15点04分
2
Renascence_5
明早起来看
2016年04月01日 15点04分
level 15
伊卡慕斯小愛
楼主
2016年04月01日 15点04分
3
level 15
伊卡慕斯小愛
楼主
2016年04月01日 15点04分
4
忆星丶思星
@伊卡慕斯小愛
第五行到第六行看不懂
2016年04月07日 08点04分
伊卡慕斯小愛
这个方法是目前最认可的
2016年04月01日 15点04分
旸雨3
@伊卡慕斯小愛
这图我都借用好多次了
2016年04月01日 16点04分
伊卡慕斯小愛
回复 忆星丶思星 :換元
2016年04月07日 09点04分
level 11
LifeMyth
少了一步 fubini!
2016年04月01日 20点04分
5
伊卡慕斯小愛
积分限都是常数,所以跳过了
2016年04月02日 02点04分
level 15
Renascence_5
这种方法貌似谢惠民上也有
2016年04月02日 03点04分
6
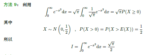
level 15
Renascence_5
2016年04月02日 03点04分
7
level 15
Renascence_5
2016年04月02日 03点04分
8
_3033632692_
做一次积分变换,比这道题本身更难
2016年04月02日 11点04分
level 15
Renascence_5
2016年04月02日 03点04分
9
level 15
Renascence_5
2016年04月02日 03点04分
12
Renascence_5
回复 S忧伤旧约 :我整理的题😂大部分都来自MSE和I&S😂,目前才整理了一半,整理好了我会共享出来
还有,你也许常见到的是这个模板,不是这本书,这个模板还是非常常见的
2016年04月02日 12点04分
S忧伤旧约
我想知道这到底是谁编辑的书
有没有可能给在下一份
为什么见到好几个大神都发过这个资料
2016年04月02日 11点04分
伊卡慕斯小愛
可能是自编的
2016年04月02日 11点04分
伊卡慕斯小愛
回复 S忧伤旧约 :问他拿呗
2016年04月02日 11点04分
level 15
Renascence_5
2016年04月02日 03点04分
13
Altair✨
这个没有循环论证?
2017年04月08日 10点04分
level 15
Renascence_5
2016年04月02日 03点04分
14
level 15
Renascence_5
方法11:围道积分
https://tieba.baidu.com/p/4357242062
2016年04月02日 03点04分
15
level 15
Renascence_5
更多推广可以看一下wiki,
https://en.m.wikipedia.org/wiki/Gaussian_integral
2016年04月02日 03点04分
16
level 15
Renascence_5
真的有20多种解法嘛
2016年04月02日 04点04分
17
伊卡慕斯小愛
很多,大赞
2016年04月02日 05点04分
1
2
尾页