Newton分形着色再探讨
mathcad吧
全部回复
仅看楼主
level 13
LNSZDZG 楼主
对于Newton分形的着色问题,两年前在画板论坛中,几位老师已经讨论过,并且得到了比较理想的结果。可惜当时我对着色理解不够,没有能够参加讨论,最近画板论坛比较清冷,没人发炎了!——也不知道“柳巷长啸”哥几位是否还在坚持,很想念他们的。
言归正传,对于Newton分形的着色主要集中在以下几点:
1、平滑eT环;
2、分区域着色;
3、凸显Newton链;
4、各类陷阱
5、其他夸张表达
2016年03月15日 01点03分 1
level 13
LNSZDZG 楼主
我们以下图为例来逐步实现
2016年03月15日 01点03分 2
level 13
LNSZDZG 楼主
这是这个分形的UF代码
Newton8 {
;LNSZDZG于2016年3月15日 修改原分形代码
;原代码的初值是 c = cos(pi/4) + flip(sin(pi/4))
; 迭代函数是 z = z - (c^2*z^4-(c^4+1)*z^2+c^2)/(4*c^2*z^3-2*(c^4+1)*z)
init:
complex zold = (10,0)
complex R = @R
z = #pixel
z = z + 1/z
loop:
zold = z
z = z - (z^R +1)/(R*z^(R-1))
bailout:
|z - zold| > @bailout
default:
title = "Newton8"
maxiter = 1000
periodicity = 0
center = (0,0)
magn = 1
param R
caption = "z的指数"
default = 4.0
endparam
param bailout
caption = "Bailout"
default = 0.00001
endparam
switch:
type = "Newton8 "
power = @power
bailout = @bailout
}
2016年03月15日 01点03分 3
level 13
LNSZDZG 楼主
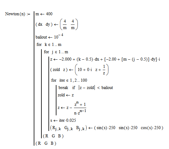
先用MC将这个分形“做出来”
这是程序和效果图
2016年03月15日 01点03分 4
level 13
LNSZDZG 楼主
1、平滑eT环
将原参数s=0.025*iter修改为
s=0.025*(iter - ln(|log(|z-zold|)|)*ln(|log(|bailout)|))
其余参数不变,eT环比较平滑了
2016年03月15日 01点03分 5
level 13
LNSZDZG 楼主
2、分区域着色
增加参数AR = arg(z)/2π,修改
R[j,k=AR*250,
B[j,k=(1-AR)*250
其余参数不变
2016年03月15日 01点03分 6
level 13
LNSZDZG 楼主
程序是这样的
2016年03月15日 01点03分 7
level 13
LNSZDZG 楼主
将着色参数修改为
并将图片属性修改为HSV,效果就是这样
这是灰度的效果
2016年03月15日 01点03分 8
level 13
LNSZDZG 楼主
用点“旁门左道”——注意下面的
R , B*0.7,G[吐舌]
2016年03月15日 01点03分 9
level 13
LNSZDZG 楼主
忘了说了,上图的属性是HLS!!!
2016年03月15日 02点03分 10
level 13
LNSZDZG 楼主
收工了!欢迎朋友们一起谈论。
2016年03月15日 02点03分 11
level 15
LNSZDZG老师的分形随心所欲,信手拈来,佩服!
2016年03月15日 11点03分 12
1