level 5
fantasy1025
楼主
如题,具体方程如下:

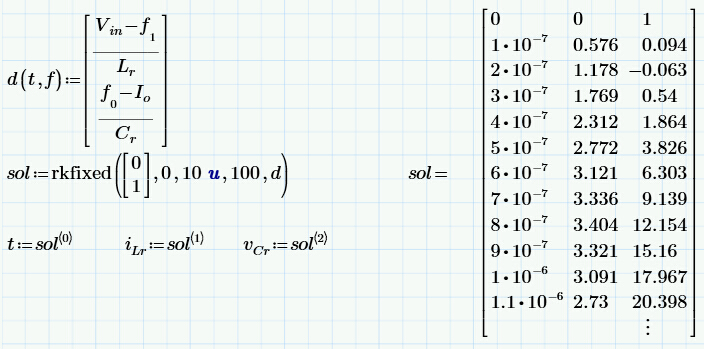
而我现在的解法,只能求出数值解,然后画图,如下,没法求出表达式。





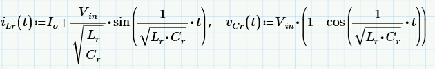
不知用mathcad能否求出如下图的关系式结果?

2016年03月04日 03点03分
1

而我现在的解法,只能求出数值解,然后画图,如下,没法求出表达式。




不知用mathcad能否求出如下图的关系式结果?

而我现在的解法,只能求出数值解,然后画图,如下,没法求出表达式。




不知用mathcad能否求出如下图的关系式结果?

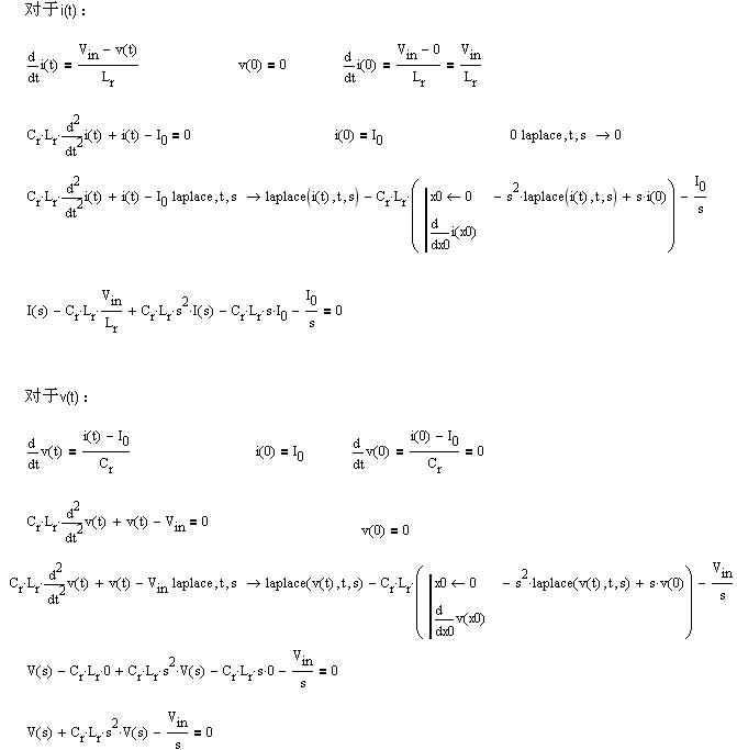
这是我用laplace的方法先变换到s域然后一步步解的,但是解出s域的结果后,回不到时域了……


