【分享 】不定方程 1/x + 1/y =1/z 的通解
数论吧
全部回复
仅看楼主
level 6
2_958_859_071
楼主
二潘版《初等数学》和《丢番图方程引论》居然没有这个问题。
可能是太简单吧!
但还是分享一下,希望没有做错。
可能某些问题会用到。
2016年01月11日 17点01分
1
level 6
2_958_859_071
楼主
2016年01月11日 17点01分
2
level 7
上海森沪队😘
可以
2016年01月11日 17点01分
3
level 6
2_958_859_071
楼主
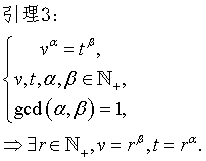
再分享几个常用的“引理”,未验证。
2016年01月11日 17点01分
4
level 7
Lyrongnh
不定方程 1/u+1/v+1/s+1/t+1/x + 1/y =1/z等等的通解,也是简单的。
2016年08月25日 14点08分
7
level 14
指尖✨烟草味
1/a1+1/a2+…+1/an=s/(a1a2…an)
1/(s*a1)+1/(s*a2)+…+1/(s*an)=1/(a1a2…an)
2016年08月25日 15点08分
8
Lyrongnh
给定s,就是世界难题。
2016年08月29日 14点08分
level 8
多项式之父
Z(X+Y)=XY
2017年03月13日 14点03分
10
1