【arduino】arduino的數學怎麼使用。。。
arduino吧
全部回复
仅看楼主
level 2
丢—_—丢
楼主
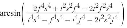
比如我用這些
uint16_t f
uint16_t s
uint16_t f
(都是傳感器/I2C讀數)
來計算以下
float a
a=以下
或者展開式
還有圓周率pi怎麼表示?
2016年01月10日 02点01分
1
level 2
丢—_—丢
楼主
頂
2016年01月10日 02点01分
2
level 9
celeron_533
圆周率么自己#define一下吧
2016年01月10日 02点01分
3
level 7
伊人艺花
好懒。自己慢慢写就是了。没有平方。只有加减乘除
2016年01月10日 03点01分
4
丢—_—丢
這樣啊。。。平方不能用pow這個函數嗎?
2016年01月10日 04点01分
丢—_—丢
而且一個16位無符號整數四次方就是64位(2^64)。。。真的能處理嗎。。。
2016年01月10日 04点01分
伊人艺花
@丢—_—丢
可以啊。这个函数也是用的乘法。而且要注意数据类型
2016年01月10日 04点01分
伊人艺花
@丢—_—丢
不知道了。64次
2016年01月10日 04点01分
level 9
草绳绑松
8位机计算浮点~不如数据串口送PC~
2016年01月10日 07点01分
5
level 12
xupin0007
这个比较高深。
2016年01月10日 07点01分
6
1