level 10

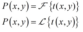
傅里叶变换符号和拉普拉斯变换符号示例具体步骤如下:
1.打开MathType软件,输入大写字母P,在括号模板中选择圆括号模板输入相应的变量。

在括号模板中选择圆括号输入相应的变量2.在要输入傅里叶变换的地方输入大写字母F,选中“F”,选择“样式”——“其他”,将字体改为Euclid Math One,点击“确定”即可。

选中字母F将字体修改为Euclid Math One3.在括号模板中选择左右大括号,输入相应的变量。

在括号模板中选择大括号输入相应变量温馨提示:拉普拉斯变换符号输入方法相同。
以上内容向大家介绍了傅里叶变换符号的输入方法,整个过程运用了MathType括号模板。这类数学变换符号的输入实际就是在MathType输入花体字的过程。更多MathType教程尽在MathType中文官网http://www.mathtype.cn,欢迎访问。