如何让向量化操作符只作用在最外面一层函数上
mathcad吧
全部回复
仅看楼主
level 5
z_g_j_
楼主
文件在这里链接:
百度网盘
密码: 988f
从截图可以看出向量化操作符不仅作用于绝对值符号,同时作用于add函数,能不能只作用于最外面的绝对值
2015年08月22日 02点08分
1
level 12
朱老剑客
从你的截图里看,貌似add()只能处理向量呀,这个和向量化操作符没什么关系吧?
2015年08月22日 13点08分
2
朱老剑客
没明白你要做什么,在你这个计算里,根本用不到向量化操作符,如果仅仅是想让“| |”执行绝对值计算,而不进行行列式计算的话,右键点击“| |”然后选择相应的功能就可以了。
2015年08月22日 13点08分
z_g_j_
回复
���Ͻ���
:我目的就是要求add函数返回的向量的每个元素取绝对值,我已经右击绝对值符号选择绝对值运算了,但是结果却只有一个标量,如下
2015年08月23日 02点08分
level 5
z_g_j_
楼主
2015年08月23日 02点08分
3
level 13
LNSZDZG
用
Xi=|xi+ORIGIN|
就可以了!
2015年08月23日 03点08分
4
level 13
LNSZDZG
在循环体内用以上的表达式
2015年08月23日 03点08分
5
z_g_j_
那向量的绝对值返回一个标量是什么意思?楼下
2015年08月23日 04点08分
level 5
z_g_j_
楼主
2015年08月23日 04点08分
6
level 13
LNSZDZG
模
2015年08月23日 04点08分
7
level 15
月城翁
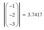
|x| 因场合的不同,既可以表示变量x的绝对值,也可以表示向量或矩阵x的模。到底是哪一种情况,由MC按内定的规则自动识别,这不是人为所能干涉的。我们只有遵循或者说迁就这个规则去列计算式,才能获得我们期望的结果。
|add(x)|:=(0^2+1^2+2^2)^0.5=5^0.5=2.2361 是在计算向量的模,而不是绝对值。
事实上,我们有多种方法求向量中各元素的绝对值,为什么一定要MC改变其内定的规则来按自己的意志行事呢?绕过这个障碍,换种方法不行吗?
下面列举几个例子供参考:
2015年08月23日 04点08分
8
z_g_j_
那从一楼的错误提示,可以说向量化操作符会作用于包含在它里面的所有函数吗?
2015年08月23日 04点08分
月城翁
MC 的错误提示,有时候错在东它说西,辞不达意。不必过分拘泥于MC的提示的意思。总之,MC的提示可理解为,这里按MC的内定规则无法运算。向量化符号,要有运算符号存在,才有意义。
2015年08月23日 04点08分
level 15
月城翁
比较一下|x|的两种不同写法得到的不同的结果:
2015年08月23日 04点08分
9
月城翁
这些写法,也不用刻意去记住,碰两回钉子,就知道怎么写了。
2015年08月23日 04点08分
1