level 12
朱老剑客
楼主
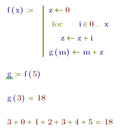
这一招是从Kiisk先生的工作表里学到的,https://tieba.baidu.com/p/3711866762,用这个法子按照一定的规律批量定义一堆函数也不是不可能的事儿了。
举个简单的例子:



嗯,看来发了奖励规则之后大家反而不说话了。不管搞什么,都不能求“毕其功于一役”,得慢慢来,日积月累,哪怕是无意义的,也不可能无意义,还是钱宇平九段的那句——“每天面对棋盘半小时”。
2015年06月01日 03点06分
1
举个简单的例子:



嗯,看来发了奖励规则之后大家反而不说话了。不管搞什么,都不能求“毕其功于一役”,得慢慢来,日积月累,哪怕是无意义的,也不可能无意义,还是钱宇平九段的那句——“每天面对棋盘半小时”。