尝试——分形图的程序中的另一种框架结构
mathcad吧
全部回复
仅看楼主
level 15
月城翁
楼主
先发两张图,如果能留住,再发后续的文字和链接。
2015年04月27日 13点04分
1
level 15
月城翁
楼主
2015年04月27日 13点04分
2
level 15
月城翁
楼主
画布点的计算,采用的是侯思松老师在网上发表的算法。其优点是,无论画布的尺寸大小或者长宽比如何变化,都不需要再修改程序中的各个参数。所以,我一直在使用,用这个算法编出的程序模块。
2015年04月27日 14点04分
4
level 15
月城翁
楼主
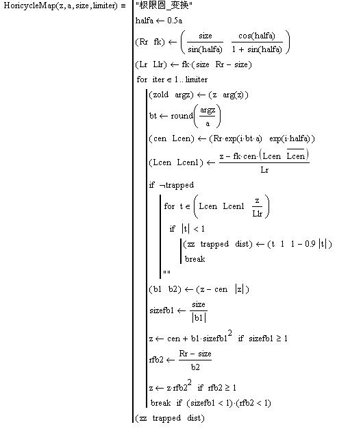
再次修改了“极限圆”的函数插件程序。
2015年04月30日 01点04分
5
月城翁
程序的源代码是LNSZDZG老师的。我只是按我的理解进行了改写。谢谢LNSZDZG老师。
2015年04月30日 01点04分
level 15
月城翁
楼主
2015-04-29的修改的内容:
2015年04月30日 01点04分
6
1