【讲课】有限元基础--第六讲---三角形单元程序
mathcad吧
全部回复
仅看楼主
吧务
level 8
wwwdongliting
楼主
2015年04月25日 08点04分
1
吧务
level 8
wwwdongliting
楼主
源程序链接:
[无效] http://pan.baidu.com/s/1bnnRYSf
密码:e1pw
2015年04月25日 09点04分
2
level 2
dba_寒江雪
确实比较奇怪。
2015年04月26日 10点04分
3
level 2
dba_寒江雪
2015年04月26日 10点04分
4
level 2
dba_寒江雪
显示问题,两个还是不一样的。
2015年04月26日 10点04分
5
wwwdongliting
请问发现哪里出问题了吗?
2015年04月27日 09点04分
吧务
level 8
wwwdongliting
楼主
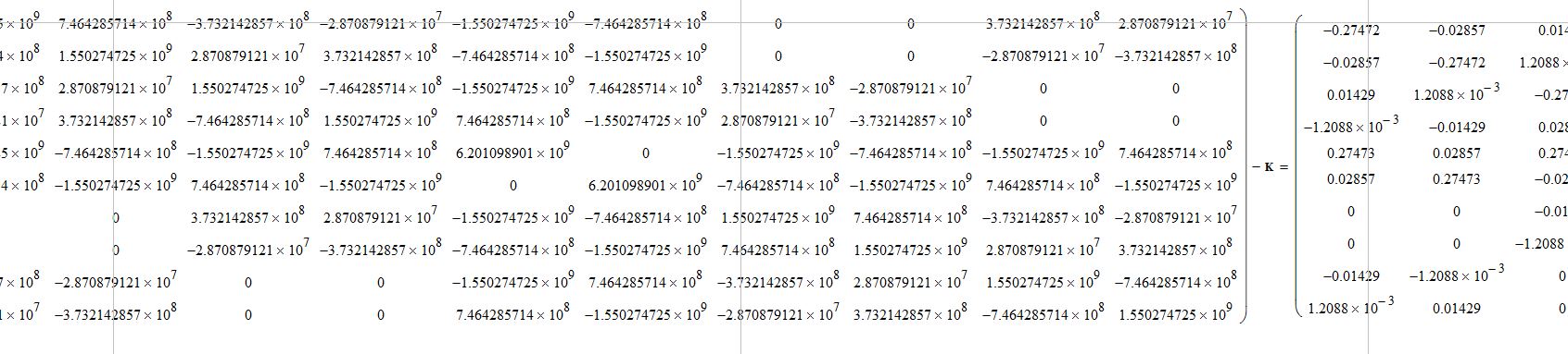
以上是被拷贝刚度阵小数位数增加后的结果。说明拷贝的矩阵就是显示的值,不是真实值
2015年04月27日 10点04分
6
level 2
dba_寒江雪
所以把位数调成一样是不是就可以解决了?
2015年04月27日 10点04分
7
wwwdongliting
不是,请看2楼
2015年04月27日 12点04分
吧务
level 8
wwwdongliting
楼主
1楼中需要解决:
1 偏微分符号怎么输入
2 应变能U的公式中随后的等号,怎么在下一行输入,使其刚好在上面个等号的正下方。
3 好像求导时右上角打一撇不便操作,好像有帖子说过。
2015年04月27日 16点04分
8
吧务
level 8
wwwdongliting
楼主
对平面三角形单元程序的优化,建立了自定义函数。
链接:
[无效] http://pan.baidu.com/s/1pJ9OrR9
密码:4q5h
2015年04月28日 02点04分
9
1