mathcad中用odesolve解微分方程组,还是不理解
mathcad吧
全部回复
仅看楼主
level 2
网到8 楼主
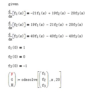
不知道为什么,老是显示初始条件太少,希望大家帮忙解答,谢谢。这是源文件链接
百度网盘
2015年03月08日 11点03分 1
level 2
网到8 楼主
已经明白了,感谢之前的高人指点
2015年03月08日 12点03分 2
既然找到原因了,就应该公布一下,他日其他人遇到同样的问题时,就能从你这里得到参考,每个知识都是可以传播的。
2015年03月08日 14点03分
level 2
网到8 楼主
我觉得原因是:我输入f1(x)时,1是做下标输入的,程序就自动变为f1*x,其中f1和x为两个自变量。因此最后有f1,f2,f3,x四个自变量。这样就与实际多了一个未知量。所以输入时,f1(x)中的1不能作为下标输入,而是正常输入,这样系统才会默认f1(x)整个为一个自变量。个人理解
2015年03月08日 14点03分 3
是因变量,哎
2015年03月08日 14点03分
level 12
用文字下标,“.”
2015年03月08日 14点03分 4
还有,就是检查是否误输入了乘法。
2015年03月08日 14点03分
level 11
文字下标的话,是不会出问题的,之前我发的图中就用了文字下标。
另外提个建议:同一个话题不用发多个帖子。
一,版面会乱。如果大家都用这种方式不断产生帖子,首页的版面就会有许多重复。
二,不便于检索。贴吧搜索功能很弱,如果同一个话题又有多个帖子,其中有答案的却只有一个,那么多余的帖子就会对检索造成麻烦,比如如果有相似问题的人通过百度搜到了你之前发的带图的那个帖子,他很高兴地开始阅读,结果发现看完后都没有提到问题是怎么解决的,又得重新搜索,而即便搜到当前这个贴,却又不知道这个贴解决的是什么问题,这样就影响了知识传递的效率。
一个问题在哪个帖子里提出,就在哪个帖子里解决,这样的话大家都会效率高一些。
2015年03月08日 15点03分 5
现在不能用电脑所以不能查看你的源文件,请其他人帮你看看吧。
2015年03月08日 15点03分
1