扩充矩阵
mathcad吧
全部回复
仅看楼主
level 4
feel0014
楼主
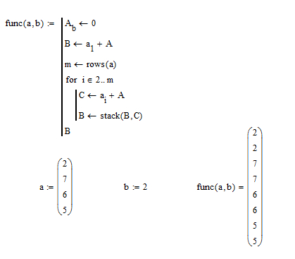
我想如图片所示,对 a矩阵 按照 b 提供的数量进行扩充,扩充出来效果如c所示,我有想过用进制的方式作为角标判断,但好像在贴吧里面找不到相关多进制的函数书写方式,特来请教各位大侠实现的方式,拜托、拜托!
2015年03月06日 06点03分
1
level 11
phy_lzx
b是a中元素的个数?初始数据如何?推广到什么程度?最好把你要处理的数据说清或传上来,也好更快帮你
2015年03月06日 07点03分
4
level 13
LNSZDZG
您没有按照吧规上传文件,我给出的结果应该是违反吧规的哈。
2015年03月06日 07点03分
5
phy_lzx
违反吧规对您的处罚就是多来论坛,多来回帖,呵呵!
2015年03月06日 10点03分
level 13
LNSZDZG
版本MC15
2015年03月06日 07点03分
6
feel0014
非常感谢,通过您的提示,我已经做出来了,但我想请教一下,func是mathcad里的一个函数吗,MP里面居然没有,如果我想对func(a,b)再做多次重复,又该如何实现呢!!!
2015年03月07日 17点03分
level 12
朱老剑客
这个在inside mathcad里有现成的函数。
2015年03月06日 08点03分
7
phy_lzx
我好好查查,学习一下
2015年03月06日 15点03分
level 4
feel0014
楼主
@朱老剑客
我不懂是在哪里,插入吗,您指的是帮助的还是贴吧有这个模块,求说明
2015年03月06日 16点03分
8
level 12
朱老剑客
我原来上传的一个文件,自己查贴吧档案。
2015年03月07日 00点03分
9
feel0014
找到并下载了,无比佩服,都是您写的吗,但自卑的是,我的英文很有限,看起来很吃力,非常谢谢您
2015年03月07日 17点03分
朱老剑客
@feel0014
呵呵,不是我写的,我没那么大能耐,那是Mathcad的高级应用教程,是几个MC大牛的作品。
2015年03月07日 17点03分
phy_lzx
@feel0014
建议您完成这个工作后,将求解过程结果在贴吧跟帖说明一下,谢谢
2015年03月07日 23点03分
level 13
LNSZDZG
func(a,b)不是内置函数,是我写的。您可以照着写出来,在MP中也可以无穷次使用。
2015年03月08日 01点03分
10
level 4
feel0014
楼主
没办法,吧主不给通过,只能借这发布一下消息了,请见谅!
2015年04月22日 04点04分
14
1