level 3

源自:@Hey_Tong9常用解法:
1. 令 x=1-y, 交换上下限.
化简后,两式相加。
此题变得更复杂,失败!
2. 令 x=y+1/2, 使上下限关于原点对称.
奇函数部分为0, 只剩下偶函数部分.
这题变换后, 看不出奇函数部分.
令 y= -z, 化简后再相加,得到偶函数部分.
此题变得更复杂, 失败!
3. 令 x=sin y 或 x=(sin y)^2, 对分母作用不大.
失败!

源自:@Hey_Tong9
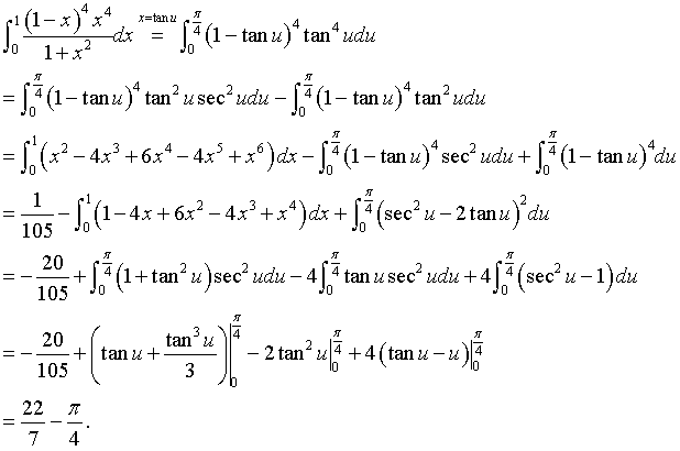
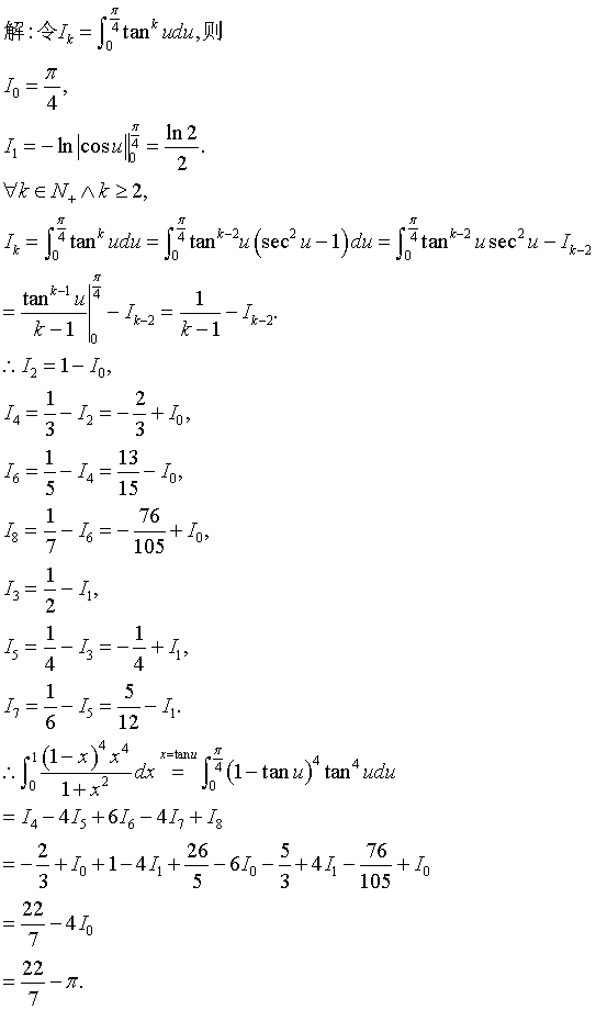
分母为 1+x^2 ,积分区间[0,1]. 考虑 x=tan u.