已知素因子求 (2a)^k+1 的存在性
数论吧
全部回复
仅看楼主
level 6
2_958_859_071
楼主
为了不打断原贴思路“连续性”,另起一贴。
2015年01月28日 15点01分
1
level 6
2_958_859_071
楼主
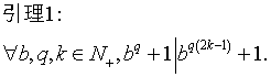
若猜测成立,则记为“定理1”.
2015年01月28日 15点01分
2
level 6
2_958_859_071
楼主
若“猜测1”成立,则有以下推论.
2015年01月28日 15点01分
3
2_958_859_071
去掉 x
2015年01月28日 15点01分
level 6
2_958_859_071
楼主
于是得出以下结论:
2015年01月28日 15点01分
4
level 14
指尖✨烟草味
这图片不养眼。
2015年01月28日 15点01分
5
2_958_859_071
我用的是mathtype,手机看比较吃力,甚至加减等号都看不清。但又不会LaTeX.
2015年01月28日 15点01分
指尖✨烟草味
回复 2_958_859_071 :我一直都是用手机
2015年01月28日 15点01分
level 6
2_958_859_071
楼主
例如:
7,11,13在十进制下的循环节长度都是偶数.
若某正整数c只含有素因子7,11,13,
则存在正整数z, 使得 c|(10^z +1).
之前
@爱帆465502732
发现:
169|(10^39+1).
于是提出以下猜测:
2015年01月28日 15点01分
6
level 6
2_958_859_071
楼主
比3楼 “定理2推论5” 更强的猜测:
“双竖线”表示 (2a)^z +1 被 p^(beta) 整除, 但不能被 p^(beta +1) 整除.
之前的思路可能不适用了.
即使是特殊情形 beta=2^m, 暂时也没证出来.
2015年01月28日 15点01分
7
level 6
2_958_859_071
楼主
2015年01月31日 12点01分
8
level 6
2_958_859_071
楼主
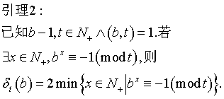
重新定义 P(b), 再引入 P'(b).
因为, 若存在 x 使得 p | b^x +1,
则 (b,p)=(b,p-1)=1.
2015年01月31日 12点01分
9
level 6
2_958_859_071
楼主
根据定理5推论1, 得到以下结论:
2015年01月31日 12点01分
10
level 6
2_958_859_071
楼主
定理5可以推广一下.
2015年01月31日 12点01分
11
level 6
2_958_859_071
楼主
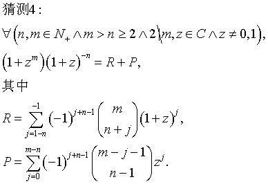
于是有以下猜测 (n=3时已验证):
2015年01月31日 12点01分
12
level 6
2_958_859_071
楼主
算了那么多,弄出一大堆副产物……
其实我的目的很简单:
2015年01月31日 12点01分
13
1