塑性成型原理应力矩阵计算
mathcad吧
全部回复
仅看楼主
level 4
Mryhn567
楼主
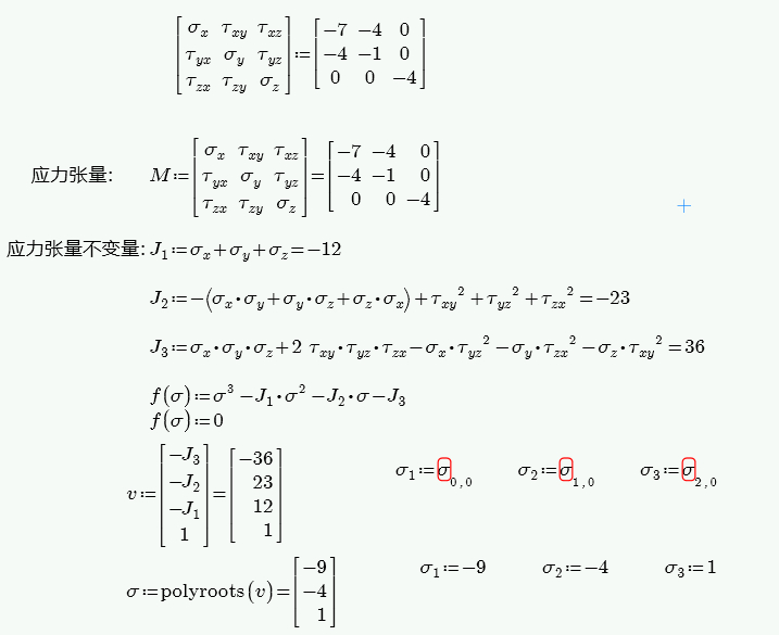
文档是用来做塑性力学书上应力计算题的演算稿,题目就是已知一点的应力状态,求下图所示的各种应力。
版本:MP 2.0
地址:
网盘链接
2015年01月23日 08点01分
1
level 12
朱老剑客
我感觉你这里缺示意图,应该是一个3维坐标系下的力的分解图,并标明哪个箭头对应的哪个力。缺科普。
2015年01月23日 09点01分
2
level 4
Mryhn567
楼主
谢朱老师提醒。
如图:σx中x代表正应力方向沿x轴方向;
τxy中x代表切应力方向平行于x作为法向量的平面(即yz平面),y代表沿y轴方向, 成对出现,大小相等。
σ1、σ2、σ3为三个主应力,取拉应力为正,并且最大的为σ1,最小的是σ3,后边解 出的l、m、n是方向余弦,代表了应力主方向。
2015年01月23日 09点01分
3
level 12
朱老剑客
@Myrhn567 ,张量是什么概念?应力张量不变又是什么概念呢?
我大概能够理解j1和j3,j2不能理解。这些基本概念你都解释解释,你用大白话说明白了,你对你的专业也就学明白了。
2015年01月23日 13点01分
4
1