level 7
策划狮
楼主
上一章我们了解了cocos2d的项目路径以及工作原理,这次作者要真刀真枪地讲解代码了,咱们先来看看cocos2d最常用、也是作者认为最核心的类——CCNode。
之前说过,cocos2d的所有类都以CC开头,那么实际上这个类的名字就是Node,类如其名,这个类的实例就是一个节点。Cocos2d的类是树状继承的,而在内存中,各个实例之间也是以“树”这种数据结构相关联的。,可见树在cocos2d中的重要性,难怪某位伟人说“要致富,少生孩子多种树”……(雾)所以如果有童鞋对树不太了解的话,建议去看看数据结构,相信会对你的编码有帮助。(在后面的文章中,作者均以读者了解树的相关知识为前提来讲解)
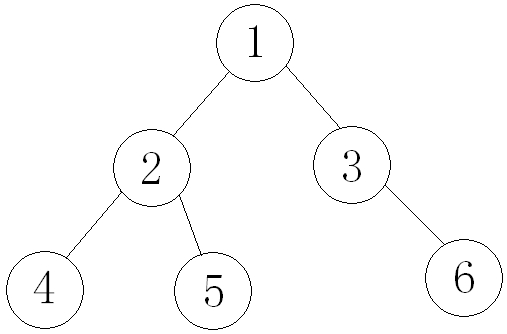
在实际应用中,除了根节点外,每一个节点都有一个父节点,任何节点都可以存在N个子节点,结构图如下:

图中的每个圆圈都是一个节点(即CCNode实例),圆圈中的数字是它们的编号,所有的节点组合到一起形成了一个树。我们可以看到,1是这个树的根节点,因为它没有父节点,其余所有节点都是它直接或间接的子节点,2和3是1的子节点,4和5是2的子节点,6是3的子节点。它们通过彼此间的连线可以找到对方,就是说2知道1是它的父节点,4和5是它的子节点,但并不知道3是它的“兄弟”(没有连线),只能通过1间接的寻找,因此这种“关联”效率是最低的,且没有泛用性,在开发中应尽量避免。
上一章的最后提到过,场景是容纳所有演员的大舞台,只有加入场景的元素才会被显示到屏幕上,那么如果图中的树是一个能够正确运行的体系,1一定是一个场景,2和3有可能是层,后面就是一系列的“演员”。可能有的童鞋会问:场景和层是什么类,它们不是CCNode,为什么能作为它们的父节点,加入到树中呢?其实答案我在上一章也说过,cocos2d的类是一层一层继承下来的,它们拥有共通的接口(都是在CCNode声明的),场景类是CCScene,层类是CCLayer,它们都是CCNode的子类,就是说它们实际上也是一个node,完全可以放置在树的任何位置。像这样的例子在cocos2d中还有很多(比如精灵),所以说CCNode是cocos2d的核心一点也不为过。
了解了CCNode的重要性,接下来我们就一起研究下它的内部结构吧~
首先我们先看看它有哪些属性:(它继承自NSObject,因此它与Foundation框架的兼容性完全不用担心= =)
float rotation_
节点的旋转角度,如果是图片的话,会看到旋转效果,所以基本上是为屏幕输出服务的。
float scaleX_, scaleY_
节点的缩放比例,X为横向,Y为纵向,当值为1的时候表示原比例,0.5表示缩小一半,2表示放大1倍,如果是图片的话就会看到效果,也是为屏幕输出服务的。
CGPoint position_
节点的坐标,该属性是一个结构体,position_.x是它的横坐标,position_.y是纵坐标,基本上也是要显示到屏幕上才有意义。
float skewX_, skewY_
节点的扭曲角度,类似于Windows画图板中的扭曲功能,X是横向扭曲,Y是纵向扭曲,单位是度数,也是屏显用的。
CGPoint anchorPointInPoints_
节点的锚点坐标,所谓锚点就是当旋转、缩放或是用其它方式操作节点时的参考的基准点,例如图片的锚点在正中心,当放大它的时候,图片就会向四周扩散,当旋转一个锚点在左上角的图片时,图片就会以左上角为轴旋转。
CGPoint anchorPoint_
节点的锚点在节点位置的比例,比如说一个节点的坐标为(0, 0),宽高各为100,那么当它的锚点坐标为(50, 50)的时候,anchorPoint_.x = 0.5,anchorPoint_.y = 0.5。
CGSize contentSize_
节点的宽高,它也是一个结构体,contentSize_.width表示宽,contentSize_.height表示高,它和position_配合可以用来检测碰撞,但需要注意,contentSize_不会因为节点的旋转和缩放而改变大小。
CCCamera *camera_
节点的镜头,cocos2d虽然是2D游戏引擎,但实际上它是通过3D方式绘制2D效果的,因此有镜头存在就不奇怪了。CCCamera也是cocos2d的一个类,它默认情况下是正对着节点的,距离也是刚好使节点能够以1:1的比例显示到屏幕上,当我们手动修改它的参数后,节点就会呈现出歪曲或缩放等效果。
NSInteger zOrder_
节点的Z轴,当有多个节点在屏幕显示时,引擎会根据它们Z轴的大小决定绘制顺序,Z轴大的会盖住Z轴小的。
CCArray *children_
重头戏来了,前面说过节点可以有N个子节点,children_就是存储这些子节点地址的变量,节点就是通过它们找到自己的子节点的。children_的类型是CCArray,这是cocos2d自己封装的一个数组类,每个元素存储一个子节点地址,它引入了tag机制,当节点有多个子节点时,可以根据它们的tag找到自己想要的那一个。
CCNode *parent_
另一个重点——节点的父节点。因为树中的每个节点都继承自CCNode,所以用CCNode类型定义父节点是最万无一失的,节点可以通过它找到自己的父节点,因为父节点最多只有一个,所以不需要用数组保存。
NSInteger tag_
节点的标签,主要是帮助其父节点找到自己,因为每个节点的子节点并不一定是唯一的,当需要遍历时可以用该参数做区分,所以兄弟节点的标签尽量不要一样。
Bool isRunning_
表示节点是否在更新逻辑,之前说过,未加入树的节点是不会显示到屏幕上的,其实它的逻辑运算也是一样,就是说没有父节点的节点不会显示,也不会处理自己的逻辑,它的一切活动都会停止。那么当节点被加入到树中的时候,isRunning_会被自动置为Yes,此时它会开始执行自己的运算,当节点离开树时,isRunning_会被置为No,如果想在它在树中的时候暂停运算,就需要将它的isRunning_手动置为No。
Bool visible_
和isRunning_对应,用来表示节点是否在绘制,当visible_为No时,节点即使在树中也不会绘制到屏幕上,就相当于隐藏了起来。
以上就是CCNode比较重要的属性,不过我们在开发中直接操作它们的频率并不高,而是通过类中声明的相关方法去改变它们,下面我就来说说CCNode中的方法。
+(id) node
实例化一个CCnode对象,实际上就是封装了alloc、init和autorelease方法。
-(id) init
初始化,将一些数值型的参数归0,缩放比例设为1,指针型的参数设为nil。
-(CCArray*) children
返回对象的children_,即获取全部的子节点。
-(Bool) visible
返回visible_参数,用于检测该节点当前是否被绘制。
-(void) setVisible: (Bool)visible
设置节点的绘制状态,Yes为可见,No为不可见
-(CCNode*) parent
返回节点的parent_,即获取父节点
-(void) setParent: (CCNode*)parent
设置父节点,但实际应用中不要这样修改,因为极易出bug,
正确的
修改方法会在后面介绍。
-(NSInteger) tag
返回对象的tag_,即获取节点的标签。
-(NSInteger) zOrder
返回对象的zOrder_,即获取Z轴。
-(Bool) isRunning
返回对象的isRunning_,即检测该节点当前是否更新逻辑。
-(float) rotation
返回对象的rotation_,即获取节点的旋转角度。
-(void) setRotation: (float)rotation
设置对象的rotation_值,即旋转节点。
-(CGPoint) position
返回对象的position_,即获取节点的坐标。
-(void) setPosition: (CGPoint)position
设置对象的position_,即更改节点的坐标。
-(CGPoint) anchorPoint
返回对象的anchorPoint_,即获取节点的锚点。
-(void) setAnchorPoint: (CGPoint)anchorPoint
设置对象的anchorPoint_,即修改节点的描点。
-(CGSize) contentSize
返回对象的contentSize_,即获取节点的宽高。
-(void) setContentSize: (CGSize)contentSize
设置对象的contentSize_,即改变节点的宽高。
-(float) skewX
返回对象的skewX_,即获取节点的横向扭曲角度。
-(void) setSkewX: (float)skewX
设置对象的skewX_,即设置节点的横向扭曲角度。
-(float) skewY
返回对象的skewY_,即获取节点的纵向扭曲角度。
-(void) setSkewY: (float)skewY
设置对象的skewY_,即设置节点的纵向扭曲角度。
-(float) scaleX
返回对象的scaleX_,即获取节点的横向缩放比例。
-(void) setScaleX: (float)scaleX
设置对象的scaleX_,即横向缩放节点。
-(float) scaleY
返回对象的scaleY_,即获取节点的纵向缩放比例。
-(void) setScaleY: (float)scaleY
设置对象的scaleY_,即纵向缩放节点。
-(CGRect) boundingBox
返回对象的碰撞框(由坐标和宽高组合而成),这个参数会随着节点的缩放或旋转等操作而改变。
-(CCCamera*) camera
返回对象的camera_,即获取节点的镜头。
-(CCNode*) getChildByTag: (NSInteger) aTag
根据tag_返回children_数组中的某个元素,即根据标签获取节点的某个子节点。
-(void) addChild: (CCNode*)child z: (NSInteger)z tag: (NSInteger)aTag
向children_数组中添加一个CCNode对象,即给节点添加一个子节点,z是子节点的Z轴,aTag是子节点的标签,此方法会将该子节点的parent_指针指向自己,因此这才是设置父节点的正解,比setParent要安全的多。
-(void) addChild: (CCNode*)child z: (NSInteger)z
-(void) addChild: (CCNode*)child
缺省了tag或z的添加子节点方法,缺省值默认为0。
-(void) removeFromParentAndCleanup: (Bool)cleanup
将节点从它的父节点的children_数组中删除,即脱离树,cleanup表示是否将其从内存中清除。
-(void) removeChild: (CCNode*)child cleanup: (Bool)cleanup
将某一节点从children_数组中删除,即删除某一子节点。
-(void) removeChildByTag: (NSInteger)aTag cleanup: (Bool)cleanup
根据tag_删除children_数组中的某个元素,即根据标签删除节点的某个子节点。
-(void) removeAllChildrenWithCleanup: (Bool)cleanup
清空对象的children_数组,即删除所有子节点。
-(void) _setZOrder: (NSInteger)z
设置对象的zOrder_,即改变节点的Z轴。
-(void) reorderChild: (CCNode*)child z: (NSInteger)z
将某节点从子节点队列中取出,并重新重新插入队列,目的是改变其Z轴。
-(void) visit
绘制函数,用来将节点内容(多为图片或文字)显示到屏幕。
-(void) onEnter
相当于一个激活过程,它会在节点被添加到树中的时候执行,使其可以更新自己的逻辑。
-(void) onExit
取消激活,作用是暂停某节点的逻辑更新。
-(CCAction*)runAction: (CCAction*)action
一个会经常被用到的类,作用是执行一种行为,行为模式由参数action决定,CCAction就是上一章提到的行为类,runAction就是联系实体类和行为类的桥梁。行为执行完毕后,action会自动释放(用了autorelease),所以使用时不用担心内存问题。但需要注意,当isRunning_为No时,节点执行的行为会暂停,就是说onExit有暂停节点一切行为的功能。
-(void) stopAllActions
停止节点正在执行的所有行为,注意这里是停止,不是暂停,函数执行后节点中的所有行为类实例都将从内存中清除。
-(void) stopAction: (CCAction*)action
停止节点的某一个行为,如果没有执行该行为则什么都不做。
-(void) stopActionByTag: (NSInteger)aTag
根据标签停止节点的某一个行为。
-(CCAction*) getActionByTag: (NSInteger)aTag
根据标签获取某个正在执行的行为。
-(void) schedule: (SEL)selector interval: (ccTime)interval
Schedule是cocos2d中的一个很重要的机制,在作者看来它的实用性仅次于行为类,它的功能和CCAction有相似的地方,都是执行一种行为;不同之处在于,schedule是通过调用方法来执行逻辑的,而且他它内部还有个计时器,可以每隔一定的时间调用一次,反复循环,直到手动将其停止或者节点被删除(暂停)。这里的参数selector就是执行的方法,interval是间隔时间(秒),ccTime其实就是一个浮点数。
-(void) unschedule: (SEL)selector: (SEL)selector
停止一个schedule任务,注意这里是停止不是暂停。
-(void) unscheduleAllSeletors
停止所有schedule任务
-(void) resumeSchedulerAndActions
恢复运行节点的行为和schedule。
-(void) pauseSchedulerAndActions
暂停节点的行为和schedule。
以上就是实体类的常用参数和方法,希望能对你学习cocos2d有所帮助。有一点要特别提醒一下,当节点执行了一个set开头的方法(即赋值方法)或某种行为时,产生的效果并不仅限于该节点,也包括它的所有子节点,以开头的示例图为例,当节点1执行了setPosition方法后,节点1、2、3、4、5、6都会发生位移,但如果是节点2执行的setPosition,那么只有节点2、4、5会移动,节点1、3、6不会受影响。善用这点的话会使开发更加省力,反之则会给自己增添不少麻烦,所以在设计树的结构时需要动些脑筋(当然作者认为这样还是利大于弊的)。
有了CCNode,自然还要学CCAction,那么下一章我就带大家了解一下这个类,掌握了它们之后,我会写一些例子,以便加深了解。
2014年11月11日 06点11分
1
之前说过,cocos2d的所有类都以CC开头,那么实际上这个类的名字就是Node,类如其名,这个类的实例就是一个节点。Cocos2d的类是树状继承的,而在内存中,各个实例之间也是以“树”这种数据结构相关联的。,可见树在cocos2d中的重要性,难怪某位伟人说“要致富,少生孩子多种树”……(雾)所以如果有童鞋对树不太了解的话,建议去看看数据结构,相信会对你的编码有帮助。(在后面的文章中,作者均以读者了解树的相关知识为前提来讲解)
在实际应用中,除了根节点外,每一个节点都有一个父节点,任何节点都可以存在N个子节点,结构图如下:

图中的每个圆圈都是一个节点(即CCNode实例),圆圈中的数字是它们的编号,所有的节点组合到一起形成了一个树。我们可以看到,1是这个树的根节点,因为它没有父节点,其余所有节点都是它直接或间接的子节点,2和3是1的子节点,4和5是2的子节点,6是3的子节点。它们通过彼此间的连线可以找到对方,就是说2知道1是它的父节点,4和5是它的子节点,但并不知道3是它的“兄弟”(没有连线),只能通过1间接的寻找,因此这种“关联”效率是最低的,且没有泛用性,在开发中应尽量避免。上一章的最后提到过,场景是容纳所有演员的大舞台,只有加入场景的元素才会被显示到屏幕上,那么如果图中的树是一个能够正确运行的体系,1一定是一个场景,2和3有可能是层,后面就是一系列的“演员”。可能有的童鞋会问:场景和层是什么类,它们不是CCNode,为什么能作为它们的父节点,加入到树中呢?其实答案我在上一章也说过,cocos2d的类是一层一层继承下来的,它们拥有共通的接口(都是在CCNode声明的),场景类是CCScene,层类是CCLayer,它们都是CCNode的子类,就是说它们实际上也是一个node,完全可以放置在树的任何位置。像这样的例子在cocos2d中还有很多(比如精灵),所以说CCNode是cocos2d的核心一点也不为过。
了解了CCNode的重要性,接下来我们就一起研究下它的内部结构吧~
首先我们先看看它有哪些属性:(它继承自NSObject,因此它与Foundation框架的兼容性完全不用担心= =)
float rotation_
节点的旋转角度,如果是图片的话,会看到旋转效果,所以基本上是为屏幕输出服务的。
float scaleX_, scaleY_
节点的缩放比例,X为横向,Y为纵向,当值为1的时候表示原比例,0.5表示缩小一半,2表示放大1倍,如果是图片的话就会看到效果,也是为屏幕输出服务的。
CGPoint position_
节点的坐标,该属性是一个结构体,position_.x是它的横坐标,position_.y是纵坐标,基本上也是要显示到屏幕上才有意义。
float skewX_, skewY_
节点的扭曲角度,类似于Windows画图板中的扭曲功能,X是横向扭曲,Y是纵向扭曲,单位是度数,也是屏显用的。
CGPoint anchorPointInPoints_
节点的锚点坐标,所谓锚点就是当旋转、缩放或是用其它方式操作节点时的参考的基准点,例如图片的锚点在正中心,当放大它的时候,图片就会向四周扩散,当旋转一个锚点在左上角的图片时,图片就会以左上角为轴旋转。
CGPoint anchorPoint_
节点的锚点在节点位置的比例,比如说一个节点的坐标为(0, 0),宽高各为100,那么当它的锚点坐标为(50, 50)的时候,anchorPoint_.x = 0.5,anchorPoint_.y = 0.5。
CGSize contentSize_
节点的宽高,它也是一个结构体,contentSize_.width表示宽,contentSize_.height表示高,它和position_配合可以用来检测碰撞,但需要注意,contentSize_不会因为节点的旋转和缩放而改变大小。
CCCamera *camera_
节点的镜头,cocos2d虽然是2D游戏引擎,但实际上它是通过3D方式绘制2D效果的,因此有镜头存在就不奇怪了。CCCamera也是cocos2d的一个类,它默认情况下是正对着节点的,距离也是刚好使节点能够以1:1的比例显示到屏幕上,当我们手动修改它的参数后,节点就会呈现出歪曲或缩放等效果。
NSInteger zOrder_
节点的Z轴,当有多个节点在屏幕显示时,引擎会根据它们Z轴的大小决定绘制顺序,Z轴大的会盖住Z轴小的。
CCArray *children_
重头戏来了,前面说过节点可以有N个子节点,children_就是存储这些子节点地址的变量,节点就是通过它们找到自己的子节点的。children_的类型是CCArray,这是cocos2d自己封装的一个数组类,每个元素存储一个子节点地址,它引入了tag机制,当节点有多个子节点时,可以根据它们的tag找到自己想要的那一个。
CCNode *parent_
另一个重点——节点的父节点。因为树中的每个节点都继承自CCNode,所以用CCNode类型定义父节点是最万无一失的,节点可以通过它找到自己的父节点,因为父节点最多只有一个,所以不需要用数组保存。
NSInteger tag_
节点的标签,主要是帮助其父节点找到自己,因为每个节点的子节点并不一定是唯一的,当需要遍历时可以用该参数做区分,所以兄弟节点的标签尽量不要一样。
Bool isRunning_
表示节点是否在更新逻辑,之前说过,未加入树的节点是不会显示到屏幕上的,其实它的逻辑运算也是一样,就是说没有父节点的节点不会显示,也不会处理自己的逻辑,它的一切活动都会停止。那么当节点被加入到树中的时候,isRunning_会被自动置为Yes,此时它会开始执行自己的运算,当节点离开树时,isRunning_会被置为No,如果想在它在树中的时候暂停运算,就需要将它的isRunning_手动置为No。
Bool visible_
和isRunning_对应,用来表示节点是否在绘制,当visible_为No时,节点即使在树中也不会绘制到屏幕上,就相当于隐藏了起来。
以上就是CCNode比较重要的属性,不过我们在开发中直接操作它们的频率并不高,而是通过类中声明的相关方法去改变它们,下面我就来说说CCNode中的方法。
+(id) node
实例化一个CCnode对象,实际上就是封装了alloc、init和autorelease方法。
-(id) init
初始化,将一些数值型的参数归0,缩放比例设为1,指针型的参数设为nil。
-(CCArray*) children
返回对象的children_,即获取全部的子节点。
-(Bool) visible
返回visible_参数,用于检测该节点当前是否被绘制。
-(void) setVisible: (Bool)visible
设置节点的绘制状态,Yes为可见,No为不可见
-(CCNode*) parent
返回节点的parent_,即获取父节点
-(void) setParent: (CCNode*)parent
设置父节点,但实际应用中不要这样修改,因为极易出bug,
正确的
修改方法会在后面介绍。
-(NSInteger) tag
返回对象的tag_,即获取节点的标签。
-(NSInteger) zOrder
返回对象的zOrder_,即获取Z轴。
-(Bool) isRunning
返回对象的isRunning_,即检测该节点当前是否更新逻辑。
-(float) rotation
返回对象的rotation_,即获取节点的旋转角度。
-(void) setRotation: (float)rotation
设置对象的rotation_值,即旋转节点。
-(CGPoint) position
返回对象的position_,即获取节点的坐标。
-(void) setPosition: (CGPoint)position
设置对象的position_,即更改节点的坐标。
-(CGPoint) anchorPoint
返回对象的anchorPoint_,即获取节点的锚点。
-(void) setAnchorPoint: (CGPoint)anchorPoint
设置对象的anchorPoint_,即修改节点的描点。
-(CGSize) contentSize
返回对象的contentSize_,即获取节点的宽高。
-(void) setContentSize: (CGSize)contentSize
设置对象的contentSize_,即改变节点的宽高。
-(float) skewX
返回对象的skewX_,即获取节点的横向扭曲角度。
-(void) setSkewX: (float)skewX
设置对象的skewX_,即设置节点的横向扭曲角度。
-(float) skewY
返回对象的skewY_,即获取节点的纵向扭曲角度。
-(void) setSkewY: (float)skewY
设置对象的skewY_,即设置节点的纵向扭曲角度。
-(float) scaleX
返回对象的scaleX_,即获取节点的横向缩放比例。
-(void) setScaleX: (float)scaleX
设置对象的scaleX_,即横向缩放节点。
-(float) scaleY
返回对象的scaleY_,即获取节点的纵向缩放比例。
-(void) setScaleY: (float)scaleY
设置对象的scaleY_,即纵向缩放节点。
-(CGRect) boundingBox
返回对象的碰撞框(由坐标和宽高组合而成),这个参数会随着节点的缩放或旋转等操作而改变。
-(CCCamera*) camera
返回对象的camera_,即获取节点的镜头。
-(CCNode*) getChildByTag: (NSInteger) aTag
根据tag_返回children_数组中的某个元素,即根据标签获取节点的某个子节点。
-(void) addChild: (CCNode*)child z: (NSInteger)z tag: (NSInteger)aTag
向children_数组中添加一个CCNode对象,即给节点添加一个子节点,z是子节点的Z轴,aTag是子节点的标签,此方法会将该子节点的parent_指针指向自己,因此这才是设置父节点的正解,比setParent要安全的多。
-(void) addChild: (CCNode*)child z: (NSInteger)z
-(void) addChild: (CCNode*)child
缺省了tag或z的添加子节点方法,缺省值默认为0。
-(void) removeFromParentAndCleanup: (Bool)cleanup
将节点从它的父节点的children_数组中删除,即脱离树,cleanup表示是否将其从内存中清除。
-(void) removeChild: (CCNode*)child cleanup: (Bool)cleanup
将某一节点从children_数组中删除,即删除某一子节点。
-(void) removeChildByTag: (NSInteger)aTag cleanup: (Bool)cleanup
根据tag_删除children_数组中的某个元素,即根据标签删除节点的某个子节点。
-(void) removeAllChildrenWithCleanup: (Bool)cleanup
清空对象的children_数组,即删除所有子节点。
-(void) _setZOrder: (NSInteger)z
设置对象的zOrder_,即改变节点的Z轴。
-(void) reorderChild: (CCNode*)child z: (NSInteger)z
将某节点从子节点队列中取出,并重新重新插入队列,目的是改变其Z轴。
-(void) visit
绘制函数,用来将节点内容(多为图片或文字)显示到屏幕。
-(void) onEnter
相当于一个激活过程,它会在节点被添加到树中的时候执行,使其可以更新自己的逻辑。
-(void) onExit
取消激活,作用是暂停某节点的逻辑更新。
-(CCAction*)runAction: (CCAction*)action
一个会经常被用到的类,作用是执行一种行为,行为模式由参数action决定,CCAction就是上一章提到的行为类,runAction就是联系实体类和行为类的桥梁。行为执行完毕后,action会自动释放(用了autorelease),所以使用时不用担心内存问题。但需要注意,当isRunning_为No时,节点执行的行为会暂停,就是说onExit有暂停节点一切行为的功能。
-(void) stopAllActions
停止节点正在执行的所有行为,注意这里是停止,不是暂停,函数执行后节点中的所有行为类实例都将从内存中清除。
-(void) stopAction: (CCAction*)action
停止节点的某一个行为,如果没有执行该行为则什么都不做。
-(void) stopActionByTag: (NSInteger)aTag
根据标签停止节点的某一个行为。
-(CCAction*) getActionByTag: (NSInteger)aTag
根据标签获取某个正在执行的行为。
-(void) schedule: (SEL)selector interval: (ccTime)interval
Schedule是cocos2d中的一个很重要的机制,在作者看来它的实用性仅次于行为类,它的功能和CCAction有相似的地方,都是执行一种行为;不同之处在于,schedule是通过调用方法来执行逻辑的,而且他它内部还有个计时器,可以每隔一定的时间调用一次,反复循环,直到手动将其停止或者节点被删除(暂停)。这里的参数selector就是执行的方法,interval是间隔时间(秒),ccTime其实就是一个浮点数。
-(void) unschedule: (SEL)selector: (SEL)selector
停止一个schedule任务,注意这里是停止不是暂停。
-(void) unscheduleAllSeletors
停止所有schedule任务
-(void) resumeSchedulerAndActions
恢复运行节点的行为和schedule。
-(void) pauseSchedulerAndActions
暂停节点的行为和schedule。
以上就是实体类的常用参数和方法,希望能对你学习cocos2d有所帮助。有一点要特别提醒一下,当节点执行了一个set开头的方法(即赋值方法)或某种行为时,产生的效果并不仅限于该节点,也包括它的所有子节点,以开头的示例图为例,当节点1执行了setPosition方法后,节点1、2、3、4、5、6都会发生位移,但如果是节点2执行的setPosition,那么只有节点2、4、5会移动,节点1、3、6不会受影响。善用这点的话会使开发更加省力,反之则会给自己增添不少麻烦,所以在设计树的结构时需要动些脑筋(当然作者认为这样还是利大于弊的)。
有了CCNode,自然还要学CCAction,那么下一章我就带大家了解一下这个类,掌握了它们之后,我会写一些例子,以便加深了解。