关于本题的进一步思考:
楼主的这道题用程序板是很容易实现的:


但是,用同样的算法,分步计算就无法实现:


如果把程序板写成如下形式,也无法通过:


为什么呢?
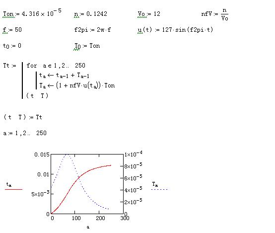
因为t[a和T[a需要同步互相调用。要计算t[a ,必须先计算出t[a-1和T[a-1 ;而要计算出T[a ,必须先计算出t[a 。
两个变量相互制约。同一个变量,把对应于a的各个值一下计算出来,行不通。用a 的值分步计算,在程序板中可以实现,但是同时一步计算t[a和T[a ,也行不通。
那么,不用程序板,就不能计算了吗?
事实上,仔细观察t[a和T[a的相互关系,把算式改写一下,就可以顺利地计算出t[a和T[a的值:
注意,这里用不着T[0的值。


这样一来,不存在相互调用数值的问题,计算起来就容易了。
这里有一个问题:
如果不给出t[0:=0的值,而是直接写成下式,却通不过。


如果改写成下式,就能通过了:


这说明,t[a的值域一定要和a的值域保持一致。