level 13
KOF2002FANS
楼主
见图

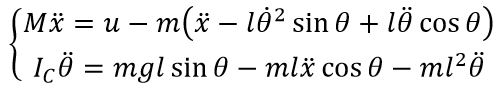
M在光滑地面上,u是推力,长棍m与M之间以铰链连接
写出整个系统运动的微分方程(组)用来建模,以x, θ,u表示
咋一看上去似乎人畜无害的样子
然后我做了一下发现这题目不对劲啊,怎么是给工科生做的?!。。(ノ=Д=)ノ┻━┻
2014年09月12日 02点09分
1

M在光滑地面上,u是推力,长棍m与M之间以铰链连接写出整个系统运动的微分方程(组)用来建模,以x, θ,u表示
咋一看上去似乎人畜无害的样子
然后我做了一下发现这题目不对劲啊,怎么是给工科生做的?!。。(ノ=Д=)ノ┻━┻






