求问这个公式如何输入
latex吧
全部回复
仅看楼主
level 3
jsnzg
楼主
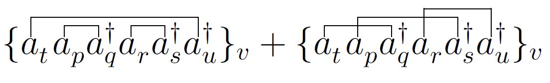
求问大神,上面的这些交错的线如何实现,多谢!
2014年09月03日 08点09分
1
level 5
若馥雪
靠,好复杂的公式啊,看了半天,还是不会啊。!!!
2014年09月05日 01点09分
3
1