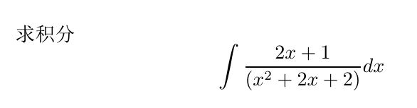
求不定积分
数学吧
全部回复
仅看楼主
level 2
惟有余晖满天w
楼主
2014年07月30日 10点07分
1
level 12
Eclair😇
2014年07月30日 10点07分
3
密闭房间
2014年07月30日 10点07分
惟有余晖满天w
回复 密闭房间 :
2014年07月30日 10点07分
1