闲着没事儿喜欢多种解法挑战自己的戳进来看看~~~
数学吧
全部回复
仅看楼主
level 10
雪狼冥灵
楼主
吧友们见多识广,总能弄出些新鲜东西。以05越南为例来看看吧友们的解决方法。
题目如下:--------------12.07
2013年12月07日 01点12分
1
level 10
雪狼冥灵
楼主
首先大学范围的拉格朗日乘数法已不予讨论了,相关衍生方法也不推荐。
2013年12月07日 01点12分
2
雪狼冥灵
8楼已公布已公布了一种数形结合或者可以是三角还原的解法。
2013年12月07日 02点12分
雪狼冥灵
10楼已给了一种构造含参量函数得出极值的方法,其求导运算那步在其楼下补续了。
2013年12月07日 02点12分
雪狼冥灵
20楼由楼主公布了一种很常用的思想方法,应用了对二次函数相关认识。
2013年12月07日 05点12分
雪狼冥灵
18楼由吧主 天马__行_空 给出了一种解题思想,max正确。 15楼有小吧 KeyTo9 留言。
2013年12月07日 05点12分
level 7
羊羊920816
拉格朗日乘子法
2013年12月07日 01点12分
3
雪狼冥灵
恩,确实是个方法!继续弄两种方法吧
2013年12月07日 01点12分
level 14
Heltion
2013年12月07日 01点12分
4
雪狼冥灵
额,每天水点经验,升得快一些。这样搞又免得到处跑。
2013年12月07日 01点12分
雪狼冥灵
抢了楼到现在就木有说话了,你.....
2013年12月07日 13点12分
笑脸男-
回复 雪狼冥灵 :晕我的换元法被强先了
2013年12月07日 13点12分
雪狼冥灵
回复 我是天神87 :您开个贴,免得我们的小吧一上线几个消息。。。。。。抢先了有兴趣继续想呗
2013年12月07日 13点12分
level 9
vicky_xu0415
数形结合
2013年12月07日 01点12分
6
雪狼冥灵
不要半天想说是线性规划......
2013年12月07日 01点12分
雪狼冥灵
回复 雪狼冥灵 :噗,这个思想内容也是很广泛的啊。您能详细点么
2013年12月07日 01点12分
吧务
level 16
N_a_O_H_
这个函数化成显函数有困难。
2013年12月07日 01点12分
7
雪狼冥灵
这题太适合你做了!好好想,你可以做,至少能用2种
2013年12月07日 02点12分
N_a_O_H_
回复 雪狼冥灵 :好像能配方的样子。
2013年12月07日 02点12分
雪狼冥灵
回复 N_a_O_H_ :额,你看你楼下已经搞出来了最大值
2013年12月07日 02点12分
level 10
雪狼冥灵
楼主
ps:如果想用柯西不等式证明的,不需要另搞构造二次函数推导柯西不等式的相关函数的方法。
2013年12月07日 02点12分
9
level 10
烈火专家
原式变为
(x+y)/3=(x+1)^0.5+(y+2)^0.5
因为p=x+y
所以可得(p
+3
)^0.5<=(x+1)^0.5+(y+2)^0.5<=(2p+6)^0.5(求导计算)
最后把上面的不等式中间的式子用p/3代替
求解即可
希望没错
2013年12月07日 02点12分
10
雪狼冥灵
恩,前面<=我没看出来,后面那个我看出来的是利用了柯西不等式。您怎么说是求导计算?
2013年12月07日 02点12分
烈火专家
回复 雪狼冥灵 :把这个式子(x+1)^0.5+(y+2)^0.5当成一个函数,可以令f(x)=(x+1)^0.5+(p-x+2)^0.5(-1<=x<=p+2)求到后可知该函数在[-1,(p+1)/2]上单调递增,在[(p+1)/2,p+2]单调递减。
2013年12月07日 02点12分
雪狼冥灵
回复 烈火专家 :噗,果真是好方法!含参变量的函数运算。层主读几年级了?这么聪明
2013年12月07日 02点12分
雪狼冥灵
回复 雪狼冥灵 :我一直思考的是f(x,p)。思维定势,汗
2013年12月07日 02点12分
level 15
睡觉前爱吃包子
如果8L最大值对的话,可以直接用1+1Cauchy的。。
2013年12月07日 02点12分
11
雪狼冥灵
恩,是这样
2013年12月07日 02点12分
level 10
雪狼冥灵
楼主
------楼主11:10分要出去做点事情了-------可能到晚上回来再总结。
2013年12月07日 03点12分
12
level 12
Evian张
前排
2013年12月07日 03点12分
13
level 5
回憶無意中蒼白
目测可以构造方程做拿delta 算
2013年12月07日 03点12分
14
雪狼冥灵
您的目测,我或者吧友已经做了相关概述。
2013年12月07日 04点12分
雪狼冥灵
真是抱歉,我的理解是二次函数中的delta,如果您说的是经济学delta理论之类的思想,我就不知道了
2013年12月07日 04点12分
level 15
KeyTo9
压下伸手贴
2013年12月07日 04点12分
15
雪狼冥灵
K吧,有兴趣不,别处新裁弄两种方法秒杀全场?
2013年12月07日 04点12分
KeyTo9
@雪狼冥灵
别黑(#不高兴) 这题跟今年联赛的一题挺像的
2013年12月07日 10点12分
level 3
060520110299ab
对于高中的解析几何方法。。。有大神说可以看看大学的解析几何的书,对高中解析有帮助,是不是真的啊?各位大神推荐一下这种书,谢谢了
2013年12月07日 04点12分
16
雪狼冥灵
高中的解析几何方法很死板,代数可以看看大学的高等数学。几何而言,个人不是很推荐
2013年12月07日 04点12分
060520110299ab
数学是硬伤啊~所以问一下
2013年12月07日 09点12分
level 5
回憶無意中蒼白
目前用两种方法 第一种跟八楼一样 第二种等会上图
2013年12月07日 04点12分
17
雪狼冥灵
欢迎您的参与!
2013年12月07日 04点12分
level 14
天马__行_空
毫无技巧性做法..
a^2-3a-1=-b^2+3b+2=k
-13/4<=k<=17/4
P=a^2+b^2-3=3a+3b
(sqrt(13+4k)+sqrt(17-4k))/2<=sqrt(((13+4k)+(17-4k))/2)=sqrt15
max:
P/3=(3+sqrt(13+4k))/2+(3+sqrt(17-4k))/2<=3+sqrt15
min:
P/3=(3-sqrt(13+4k))/2+(3-sqrt(17-4k))/2>=3-sqrt15
2013年12月07日 05点12分
18
雪狼冥灵
似乎还是a,b的取值范围弄错了,导致您的结果还是有问题
2013年12月07日 05点12分
天马__行_空
回复 雪狼冥灵 :嗯..我忘了a,b>0了..那个min要改改..max应该没啥大错了.. 嘛..反正这些一般看图形就是圆(锥曲线)啥的斜率啥的..
2013年12月07日 05点12分
雪狼冥灵
回复 天马__行_空 :吧主大人,您读几年级了,思想都停留在这种角度。。。。。。
2013年12月07日 05点12分
天马__行_空
回复 雪狼冥灵 :我才不会说上边的图勾起了一阵怀旧风呢..
2013年12月07日 05点12分
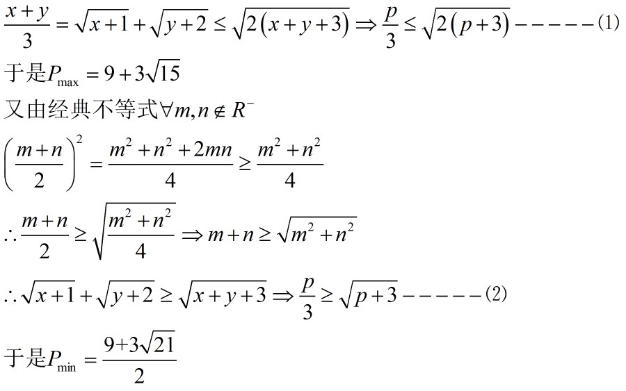
level 10
雪狼冥灵
楼主
这是构造2次函数来解决的一种答案。别看它长,就是啰嗦,本质上重要的点不多。
2013年12月07日 05点12分
20
level 12
Darth幻
柯西显然
2013年12月07日 11点12分
21
level 10
雪狼冥灵
楼主
很多算子都看出了用不等式很简洁,下面提供max用柯西解决,min用经典不等式解决的一种方法。其他解法算子们觉得只要不是衍生的,发现有趣味性的欢迎补充。
2013年12月07日 12点12分
22
level 11
孤帆远没
x+y=3[√(x+1)+√(y+2)]
p/3=[√(x+1)+√(p+2-x)]
上式两边平方一下易得p+3≤p^2/9≤2p+6
解出来应该可以吧
2013年12月07日 13点12分
23
雪狼冥灵
呵呵,是可以。。。
2013年12月07日 13点12分
6azxds
回复 雪狼冥灵 :竟然秒了,,,,,这不科学。。。。。
2013年12月07日 14点12分
1