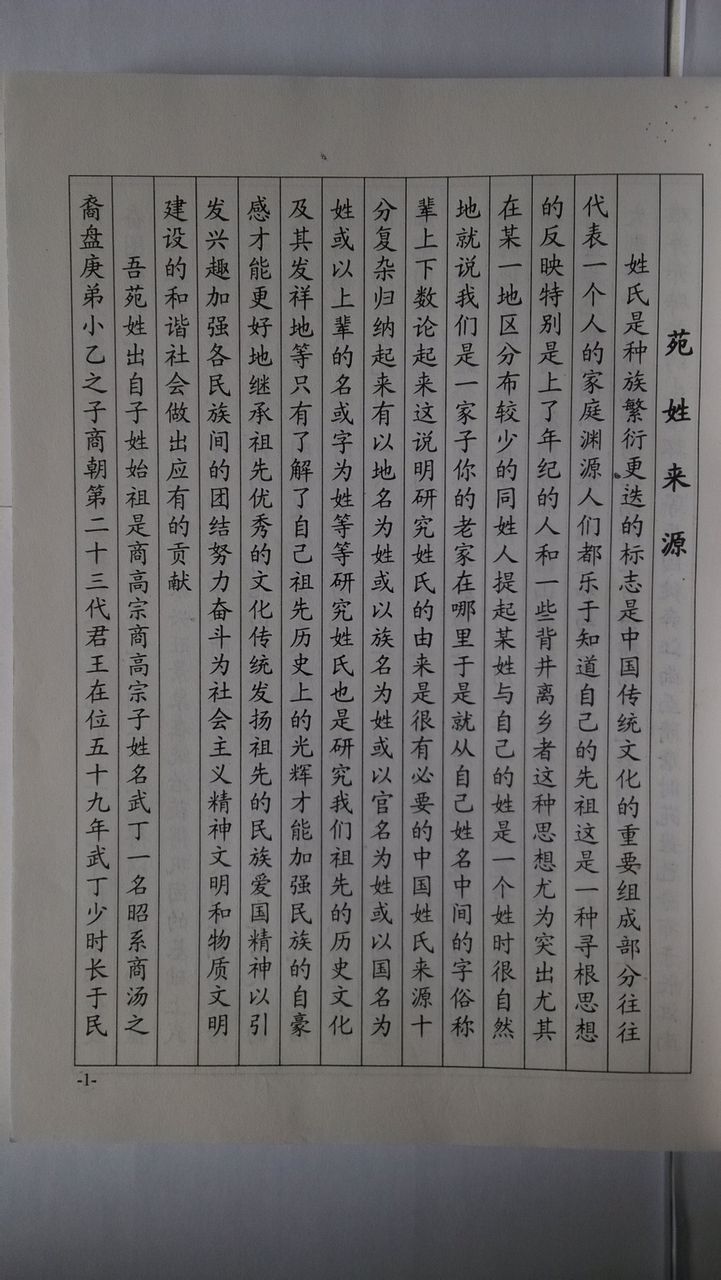
苑氏族谱
苑吧
全部回复
仅看楼主
level 5
奔跑的小鲁
楼主
这是2008年在山东郓城修的家谱,家里有一套厚厚的四本。拍了几张给大家看看。
2013年12月06日 14点12分
1
level 5
奔跑的小鲁
楼主
家训
2014年04月09日 14点04分
3
谋天成
德,宪,善,是那个地区的苑氏家谱
2018年05月31日 07点05分
level 7
only百分之3
看到鸟!381页,俺们村的!鸡冻!
2014年04月17日 13点04分
4
龙苑
2025年04月01日 07点04分
level 9
苑LoVeGG
2014年04月21日 14点04分
6
龙苑
2025年02月12日 12点02分
level 11
井边松菊
楼主能看看我们保定市清苑县在族谱里吗?
2014年05月09日 13点05分
7
天才宝贝nice
清苑哪的 我也清苑的
2017年07月06日 14点07分
井边松菊
@天才宝贝nice
南大冉
2017年07月06日 23点07分
而立不惑52
@井边松菊
我博野。。。
2017年07月30日 08点07分
level 12
树下的蚂蚁12
338页的内容能发个详细的图片吗
2015年04月13日 22点04分
8
level 1
哟哟鹿鸣™
为毛没有我们这的,河北永年县苑七方村
2015年04月15日 04点04分
9
理想终究属于你
我老家也是那的。。。
2015年04月15日 12点04分
level 4
13606833419yin
379能发个详细图嘛
2015年04月16日 02点04分
10
level 1
七里河2015
楼主,我是邢台的,4月26日我们一行7人参加了全国苑姓祭祖活动。据大会组委会介绍,山东苑姓族谱修订工作做的最好。我们的族谱修订正在进行中,据家谱载,邢台清河苑姓是在明永乐年间迁居到苑庄的,后定居杨二庄村,始祖讳字得名,现传24世。始祖之前的记载现在是空白,烦请楼主苑氏宗亲,查一下你们修订的族谱,看看有没有我们这一枝的记载,或者提供一些线索。
2015年04月27日 13点04分
11
yuan1503838
我们村也叫苑庄村。明朝时期从大槐树迁移到这个地方
2018年06月28日 00点06分
level 7
麻辣烫了嘴
我是江苏的 我们都是一家人
2015年04月28日 23点04分
12
毅718
河南平顶山的,人在江苏
2017年04月08日 07点04分
苑本义
是的!我们都是一家人
2017年05月05日 03点05分
元墨迹了
山东潍坊的
2018年08月23日 03点08分
level 1
理想终究属于你
我也是我也是
2015年05月01日 10点05分
13
level 13
晟堃晟堃
楼主能把目录发全了吗
2016年01月11日 10点01分
17
level 1
超级非常高调
楼主 帮忙把总世系发上来吧 急用 抱拳了
2016年11月22日 03点11分
19
level 3
☞缘结☜
陕西泾阳!
2016年11月29日 12点11分
20
level 2
磨磨能吃吗
没有本溪的。。。
2017年02月21日 14点02分
21
year凉心520
本溪+1
2018年02月26日 08点02分
level 6
机甲武士1
有天津市的吗?
2017年02月22日 13点02分
22
一念行者悟空
天津市武清区汊沽港镇苑家堡村
2018年10月03日 13点10分
祥途嘉禾苑永新
苑家堡的大牌楼我留过照片
2018年10月23日 08点10分
level 1
而立不惑52
保定博野有吗楼主!!,
2017年03月13日 13点03分
23
1
2
3
4
尾页