level 9
辽宁抚顺人民
楼主
一片关于国立长白师范学院的文章
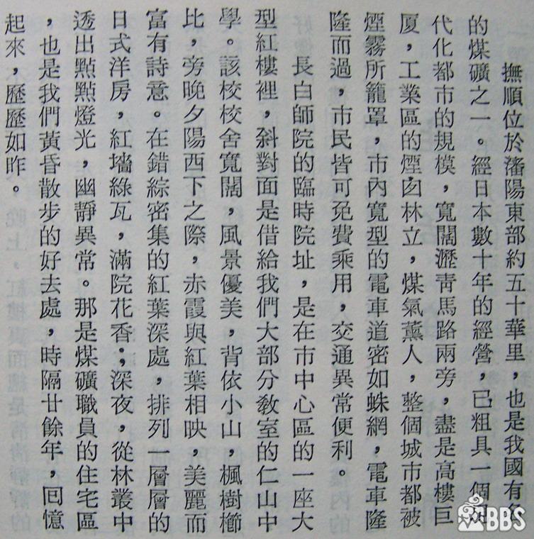
http://www.cctv.com/taiwan/special/C11808/20040213/101614.shtml 这所大学在台湾号称唯一所整建制迁台的大学,在大陆被称为留下一部分并入了后来的东北师范大学。该校曾经在抚顺短暂驻留。上课地点就是抚顺煤校,几个人合影的地点大概就是今天的煤校宿舍楼。











2013年05月28日 03点05分
1
http://www.cctv.com/taiwan/special/C11808/20040213/101614.shtml 这所大学在台湾号称唯一所整建制迁台的大学,在大陆被称为留下一部分并入了后来的东北师范大学。该校曾经在抚顺短暂驻留。上课地点就是抚顺煤校,几个人合影的地点大概就是今天的煤校宿舍楼。











