mathcad方程求解求助
mathcad吧
全部回复
仅看楼主
level 12
neilmacho
楼主
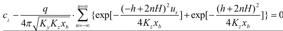
大家好.我在用mathcad15解方程的时候遇到点麻烦,来向大家求助.下面这个方程,除了xb外所有项都已知,但是那个无穷项的求和很麻烦,我用符号-变量-求解的功能无法求出结果.哪位如果知道步骤能否不吝赐教,谢谢!
2013年04月12日 10点04分
1
level 12
朱老剑客
我感觉这个方程很像是求算概率分布的,和高斯的概率分布方程很相似,能否参考高斯的方程把这个离散方程编程连续的,然后使用积分的方法给出一个符号解,然后右键点击这个积分式,选择“最优化”,我感觉应该可以优化的。把优化后的式子代入你这个方程里,求解xb。
因为你这个方程是负无穷到正无穷,函数的离散形式和连续形式的值应该是一样的。
2013年04月13日 12点04分
2
1