求解级数!
cloudk吧
全部回复
仅看楼主
level 7
vofan行
楼主
1+1/(2*2*2)+1/(3∧3)+……+1/(n∧3)
2013年02月12日 16点02分
1
level 11
笑而不语打酱油
这没那种很简单的形式,就是个Zeta函数
2013年02月12日 16点02分
2
卡赞扎斯基
你一下就能看出没有简单的形式么
2013年02月12日 17点02分
笑而不语打酱油
回复
@卡赞扎斯基
:以前见过
2013年02月12日 21点02分
level 11
笑而不语打酱油
结果叫个什么常数来着
2013年02月12日 17点02分
3
level 13
CloudK
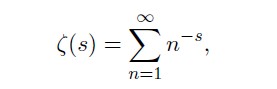
n趋于无穷大的时候结果是Zeta Function,可以利用如下的一般形式:
这里s取3就是你的结果,不过如果n不屈于无穷这结果就很麻烦了,没法写成很简单的形式。
2013年02月13日 02点02分
4
卡赞扎斯基
结果是一无理数吧?
2013年02月13日 09点02分
vofan行
回复 卡赞扎斯基 :恩,某某常数
2013年02月13日 10点02分
CloudK
回复 卡赞扎斯基 :具体值你可以用软件run一下~
2013年02月13日 10点02分
vofan行
回复 cloudk :ζ(3)的值只能逼近吗,是超越数吗?
2013年02月13日 10点02分
level 7
卡赞扎斯基
阿培里常数
维基百科,自由的百科全书
在数学中,阿培里常数是一个时常会遇到的常数。在一些物理问题中阿培里常数也会很自然地出现。比如说量子电动力学里,阿培里常数出现在电子的磁旋比展开的第二项与第三项中。
阿培里常数的准确定义是黎曼ζ函数的一个值:ζ(3),
ζ(3) = 1.202056903
15959428539
973816
15114499907
64986292...
这个常数的倒数也是一个有意义的常数:考虑任意三个随机抽取的正整数,它们之间互素的概率正是阿培里常数的倒数。
2013年02月13日 10点02分
5
1