求数列达人帮忙解决第三问。。。
数学吧
全部回复
仅看楼主
level 2
ffcx2012
楼主
做了三节课都不会。。
2013年01月19日 13点01分
1
level 2
ffcx2012
楼主
救命。。?
2013年01月19日 13点01分
2
level 2
ffcx2012
楼主
果然没人会。。
2013年01月19日 13点01分
3
YomiGawe
等我做做,大概需要20分钟吧。。。
2013年01月19日 14点01分
ffcx2012
回复 YomiGawe :行。
2013年01月19日 15点01分
YomiGawe
回复 ffcx2012 :已经解决了...就在下面......
2013年01月19日 23点01分
level 2
ffcx2012
楼主
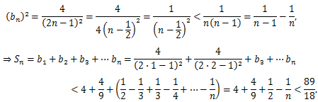
设Sn为数列{an}的前n项和,对任意的n∈N*,都有Sn=(m+1)-man(m为常数,且m>0).
(1)求证:数列{an}是等比数列;
(2)设数列{an}的公比q=f(m),数列{bn}满足b1=2a1,bn=f(bn-1)(n≥2,n∈N*),求数列{bn}的通项公式;
(3)在满足(2)的条件下,求证:数列{bn2}的前n项和Tn<
89
18
2013年01月19日 13点01分
4
level 11
L十六岁的天空
你的文字打得不太标准?第三问我没看懂你的意思
2013年01月19日 13点01分
5
ffcx2012
tn小于18分之89。谢谢。
2013年01月19日 14点01分
level 7
YomiGawe
2013年01月19日 14点01分
6
1