这是什么问题?
mathcad吧
全部回复
仅看楼主
level 3
我爱电源
楼主
2012年11月21日 13点11分
1
level 12
100zpz
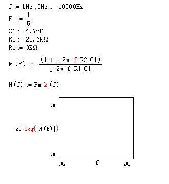
这个求助帖子,昨天就看见了,但由于全贴只有一个标题“这是什么问题”?笼统到没有一个字的说明,心想“别人怎么知道这是什么问题,是不是一个脑筋急转弯题目?”就没太在意。今天有点时间,重复看了一看,弄清了求助者是提的一个严肃的问题,现作答如下:
2012年11月22日 01点11分
2
level 3
我爱电源
楼主
谢谢你!真的十分感谢你,现在能遇到像你这样的好人,真的很难找。像像您这样的好人表示敬意!!!
2012年11月24日 04点11分
3
level 3
我爱电源
楼主
老先生 ,还是不对啊,我按照你的一模一样啊
2012年11月24日 05点11分
4
100zpz
你只要正确输入,是不会有错的。仅仅看图不太好分析错的原因,但你错在变量 f 的定义上,不妨仔细检查一下。从图看来,你哪个 f 的终值,似乎间隔太大了。
2012年11月24日 08点11分
level 1
朗道1908▫
我觉得把单位取去掉会容易操作,全用国际单位制,我用mp2.0做的;我的机子只能绘50000个点,没法改,纠结啊
2012年11月24日 06点11分
5
我爱电源
谢谢大侠!!!
2012年11月25日 02点11分
我爱电源
就是2与40000之间,我只需要按键盘上的“;”即可,对吗?可是,我的逯怎么弄,两个点后面都有看上去像是分隔符的,就是有空格,而你的没有,我是mathcad14的,怎么回事?还是不行啊
2012年11月25日 02点11分
朗道1908▫
回复 我爱电源 :用英文半角输入,号
2012年11月25日 02点11分
level 12
100zpz
答《我爱电源》:
仔细分析了你上传的图像,觉得你好象输入单位没在单位前输入乘法符号,输入值域变量也没使用“;”输入终值前的两个点,你不妨对照一下。
你的:
正确的
2012年11月24日 08点11分
6
我爱电源
老先生,我的 ,你的 ,之间的间隔怎么出来的?我也只是按了键盘上的“;”而已啊,可是就出现2hz,到1000000hz之间有空隙?你的没有,为什么?
2012年11月25日 02点11分
level 3
我爱电源
楼主
就是不行,侧地崩溃了!!!!
2012年11月25日 02点11分
10
我爱电源
回复 zsy312 :你的可以,我怎么改值都没有问题,可是我的跟你一模一样啊,天啊。我都为此被折磨好几天了
2012年11月25日 02点11分
我爱电源
回复 zsy312 :还是不行,哦改成你那样
2012年11月25日 02点11分
我爱电源
回复 zsy312 :关键是我以后还用,怎么办?
2012年11月25日 03点11分
level 3
我爱电源
楼主
我到底错在哪里????????哦都快被搞疯了
2012年11月25日 03点11分
11
100zpz
我的邮件地址:
[email protected]
请把你这个问题的xmcd文件,用邮件传给我,应该找得出原因的。
2012年11月25日 07点11分
100zpz
回复 zsy312 :老朽很高兴,这个贴吧非常团结,攻克困难颇有万众一心之势。
2012年11月25日 08点11分
朗道1908▫
回复 zsy312 :共同进步
2012年11月25日 09点11分
1