level 12
100zpz
楼主
在《数学研发论坛》上,看到了这个帖子,使老朽的兴趣来了,就在mathcad15上当成它的练习题,试做了一下,做完了才发现,这样做出来的解答,恐怕连小学的数学老师也要“望洋兴叹”了。可是他到也可以做我们锤炼mathcad使用技巧的素材,于是,也把它贴出来,供大家一笑。
引用的原文:
“ 前几天女儿上小学数学提高班,有道测验题不会做,说全班只他们两个不会,我费了半天劲,最后只得承认,要是在考场,我也做不出来,大家试试你要用多长时间:
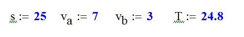
A,B 两地距离 S ,a,b两人分别从A,B出发,速度分为Va ,Vb , 两人到达另一地点后,立即反回头继续走,问T
时间内,相遇几次。
当然,原题所有变量都是定值,我为了给孩子讲透彻些,就换成了变量。”
MC15 的做法:


2012年09月26日 02点09分
1
引用的原文:
“ 前几天女儿上小学数学提高班,有道测验题不会做,说全班只他们两个不会,我费了半天劲,最后只得承认,要是在考场,我也做不出来,大家试试你要用多长时间:
A,B 两地距离 S ,a,b两人分别从A,B出发,速度分为Va ,Vb , 两人到达另一地点后,立即反回头继续走,问T
时间内,相遇几次。
当然,原题所有变量都是定值,我为了给孩子讲透彻些,就换成了变量。”
MC15 的做法:











