level 1
微笑正
楼主
> C0 := 0.23669826182305e-1;
> Ceq := 0.123496071351894e-3;
> Cp := 1;
> D1 := 0.2
18581171058
226e-19;
> K1 := 8.314472;
> K2 := 0.13806505e-22;
> N0 := 35335.6890459364;
> Vat := 0.283e-4;
> Z := 0.5e-1;
> a := 0.404e-9;
> T := 433;
变量为:
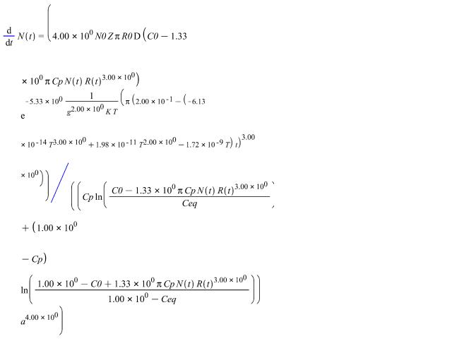
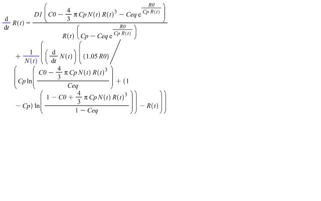
C := C0-(4/3)*Pi*Cp*N(t)*R(t)^3
gamma1 := .2-(-6.13*10^(-14)*T^3+1.98*10^(-11)*T^2-1.72*10^(-9)*T)*t
beta1 := 4*Pi*R1*D*C/a^4
R1 := R0/(Cp*ln(C/Ceq)+(1-Cp)*ln((1-C)/(1-Ceq)))
G1 := (16/3)*Pi*gamma1^3/g^2
g = K*T*(Cp*ln(C/Ceq)+(1-Cp)*ln((1-C)/(1-Ceq)))/Vat
方程组为:
sys1 := diff(N(t), t) = N0*Z*beta1*exp(-G1/(K*T))
sys2 := diff(R(t), t) = D1*(C-Ceq*exp(R0/(Cp*R(t))))/(R(t)*(Cp-Ceq*exp(R0/(Cp*R(t)))))+(diff(N(t), t))*(1.05*R1-R(t))/N(t)
sys:=[sys1,sys2,R(0)=0,N(0)=0]
如果觉得麻烦,可直接用下面的方程组

2011年04月20日 09点04分
1
> Ceq := 0.123496071351894e-3;
> Cp := 1;
> D1 := 0.2
18581171058
226e-19;
> K1 := 8.314472;
> K2 := 0.13806505e-22;
> N0 := 35335.6890459364;
> Vat := 0.283e-4;
> Z := 0.5e-1;
> a := 0.404e-9;
> T := 433;
变量为:
C := C0-(4/3)*Pi*Cp*N(t)*R(t)^3
gamma1 := .2-(-6.13*10^(-14)*T^3+1.98*10^(-11)*T^2-1.72*10^(-9)*T)*t
beta1 := 4*Pi*R1*D*C/a^4
R1 := R0/(Cp*ln(C/Ceq)+(1-Cp)*ln((1-C)/(1-Ceq)))
G1 := (16/3)*Pi*gamma1^3/g^2
g = K*T*(Cp*ln(C/Ceq)+(1-Cp)*ln((1-C)/(1-Ceq)))/Vat
方程组为:
sys1 := diff(N(t), t) = N0*Z*beta1*exp(-G1/(K*T))
sys2 := diff(R(t), t) = D1*(C-Ceq*exp(R0/(Cp*R(t))))/(R(t)*(Cp-Ceq*exp(R0/(Cp*R(t)))))+(diff(N(t), t))*(1.05*R1-R(t))/N(t)
sys:=[sys1,sys2,R(0)=0,N(0)=0]
如果觉得麻烦,可直接用下面的方程组


